Datasheet ADXL327 (Analog Devices) - 7

HerstellerAnalog Devices
BeschreibungSmall, Low Power, 3-Axis ±2 g Accelerometer
Seiten / Seite17 / 7 — ADXL327. TYPICAL PERFORMANCE CHARACTERISTICS. % (. A L. 1.45 1.46 1.47 …
Dateiformat / GrößePDF / 304 Kb
DokumentenspracheEnglisch

ADXL327. TYPICAL PERFORMANCE CHARACTERISTICS. % (. A L. 1.45 1.46 1.47 1.48 1.49 1.50 1.51 1.52 1.53 1.54 1.55. –0.48. –0.46. –0.44

ADXL327 TYPICAL PERFORMANCE CHARACTERISTICS % ( A L 1.45 1.46 1.47 1.48 1.49 1.50 1.51 1.52 1.53 1.54 1.55 –0.48 –0.46 –0.44

Modelllinie für dieses Datenblatt

Textversion des Dokuments

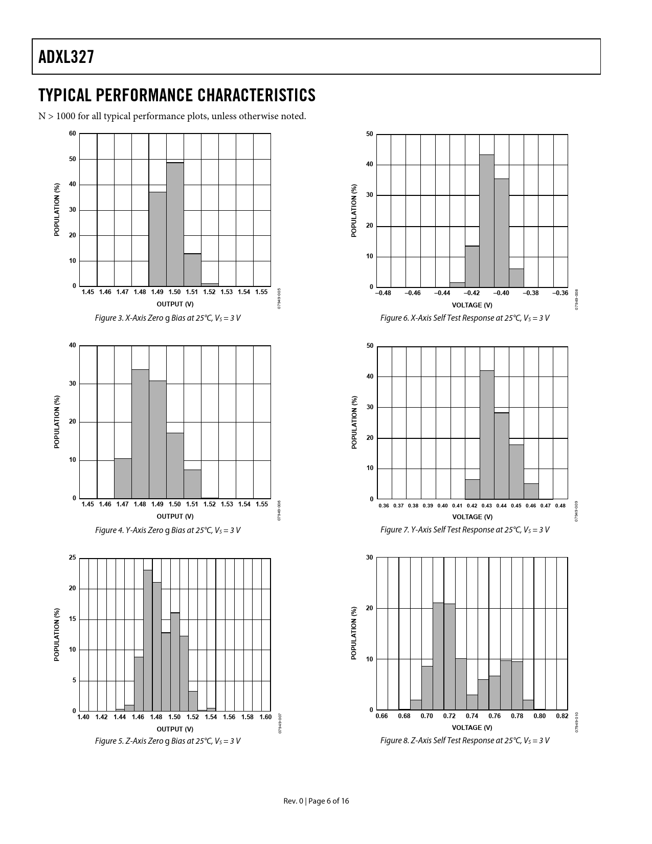
ADXL327 TYPICAL PERFORMANCE CHARACTERISTICS
N > 1000 for all typical performance plots, unless otherwise noted.
60 50 50 40 ) 40 ) % ( % ( 30 N ON O TI 30 A TI L A L PU PU 20 PO 20 PO 10 10 0 0 1.45 1.46 1.47 1.48 1.49 1.50 1.51 1.52 1.53 1.54 1.55
5
–0.48 –0.46 –0.44 –0.42 –0.40 –0.38 –0.36
08 -00 0 49 9-
OUTPUT (V)
79
VOLTAGE (V)
94 0 07 Figure 3. X-Axis Zero g Bias at 25°C, VS = 3 V Figure 6. X-Axis Self Test Response at 25°C, VS = 3 V
40 50 40 30 ) ) % ( % ( N 30 N O TIO 20 A TI L A L U U P P 20 PO PO 10 10 0 0 1.45 1.46 1.47 1.48 1.49 1.50 1.51 1.52 1.53 1.54 1.55
6
0.36 0.37 0.38 0.39 0.40 0.41 0.42 0.43 0.44 0.45 0.46 0.47 0.48
09 -00 0 9-
OUTPUT (V)
949
VOLTAGE (V)
94 07 07 Figure 4. Y-Axis Zero g Bias at 25°C, VS = 3 V Figure 7. Y-Axis Self Test Response at 25°C, VS = 3 V
25 30 20 ) ) 20 % % ( 15 ( N N O O TI TI A A L L U P 10 PU PO PO 10 5 0 0 1.40 1.42 1.44 1.46 1.48 1.50 1.52 1.54 1.56 1.58 1.60
7
0.66 0.68 0.70 0.72 0.74 0.76 0.78 0.80 0.82
10 0 -00 9- 49
OUTPUT (V) VOLTAGE (V)
94 79 0 07 Figure 5. Z-Axis Zero g Bias at 25°C, VS = 3 V Figure 8. Z-Axis Self Test Response at 25°C, VS = 3 V Rev. 0 | Page 6 of 16 Document Outline FEATURES APPLICATIONS GENERAL DESCRIPTION FUNCTIONAL BLOCK DIAGRAM TABLE OF CONTENTS REVISION HISTORY SPECIFICATIONS ABSOLUTE MAXIMUM RATINGS ESD CAUTION PIN CONFIGURATION AND FUNCTION DESCRIPTIONS TYPICAL PERFORMANCE CHARACTERISTICS THEORY OF OPERATION MECHANICAL SENSOR PERFORMANCE APPLICATIONS INFORMATION POWER SUPPLY DECOUPLING SETTING THE BANDWIDTH USING CX, CY, AND CZ SELF TEST DESIGN TRADE-OFFS FOR SELECTING FILTER CHARACTERISTICS: THE NOISE/BW TRADE-OFF USE WITH OPERATING VOLTAGES OTHER THAN 3 V AXES OF ACCELERATION SENSITIVITY LAYOUT AND DESIGN RECOMMENDATIONS OUTLINE DIMENSIONS ORDERING GUIDE