Datasheet ADXL327 (Analog Devices) - 10

HerstellerAnalog Devices
BeschreibungSmall, Low Power, 3-Axis ±2 g Accelerometer
Seiten / Seite17 / 10 — ADXL327. 600. CH4: ZOUT, 500mV/DIV. 500. CH3: YOUT, 500mV/DIV. 400. CH2: …
Dateiformat / GrößePDF / 304 Kb
DokumentenspracheEnglisch

ADXL327. 600. CH4: ZOUT, 500mV/DIV. 500. CH3: YOUT, 500mV/DIV. 400. CH2: XOUT, 500mV/DIV. A) µ ( NT 300. RRE. CU 200. CH1: POWER, 2V/DIV. 100

ADXL327 600 CH4: ZOUT, 500mV/DIV 500 CH3: YOUT, 500mV/DIV 400 CH2: XOUT, 500mV/DIV A) µ ( NT 300 RRE CU 200 CH1: POWER, 2V/DIV 100

Modelllinie für dieses Datenblatt

Textversion des Dokuments

ADXL327 600 CH4: ZOUT, 500mV/DIV 500 CH3: YOUT, 500mV/DIV 400 CH2: XOUT, 500mV/DIV A) µ ( NT 300 4 RRE 3 CU 200 2 CH1: POWER, 2V/DIV 100 1
24
OUTPUTS ARE OFFSET
0 9-
FOR CLARITY
94
0
07
1.5 2.0 2.5 3.0 3.5 4.0
23
TIME (1ms/DIV)
0 9-
SUPPLY (V)
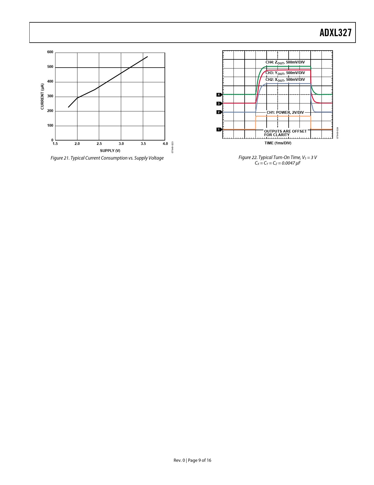
94 07 Figure 21. Typical Current Consumption vs. Supply Voltage Figure 22. Typical Turn-On Time, VS = 3 V CX = CY = CZ = 0.0047 μF Rev. 0 | Page 9 of 16 Document Outline FEATURES APPLICATIONS GENERAL DESCRIPTION FUNCTIONAL BLOCK DIAGRAM TABLE OF CONTENTS REVISION HISTORY SPECIFICATIONS ABSOLUTE MAXIMUM RATINGS ESD CAUTION PIN CONFIGURATION AND FUNCTION DESCRIPTIONS TYPICAL PERFORMANCE CHARACTERISTICS THEORY OF OPERATION MECHANICAL SENSOR PERFORMANCE APPLICATIONS INFORMATION POWER SUPPLY DECOUPLING SETTING THE BANDWIDTH USING CX, CY, AND CZ SELF TEST DESIGN TRADE-OFFS FOR SELECTING FILTER CHARACTERISTICS: THE NOISE/BW TRADE-OFF USE WITH OPERATING VOLTAGES OTHER THAN 3 V AXES OF ACCELERATION SENSITIVITY LAYOUT AND DESIGN RECOMMENDATIONS OUTLINE DIMENSIONS ORDERING GUIDE