Datasheet ADXL327 (Analog Devices) - 9

HerstellerAnalog Devices
BeschreibungSmall, Low Power, 3-Axis ±2 g Accelerometer
Seiten / Seite17 / 9 — ADXL327. 0.46. N = 8. 0.45. 0.44. 0.43. V/ ( Y. ION. 0.42. IVI. L U. …
Dateiformat / GrößePDF / 304 Kb
DokumentenspracheEnglisch

ADXL327. 0.46. N = 8. 0.45. 0.44. 0.43. V/ ( Y. ION. 0.42. IVI. L U. 0.41. SEN. 0.40. 0.39. 0.38. –40 –30 –20 –10. SENSITIVITY (V/g. TEMPERATURE (°C). Y T. T A

ADXL327 0.46 N = 8 0.45 0.44 0.43 V/ ( Y ION 0.42 IVI L U 0.41 SEN 0.40 0.39 0.38 –40 –30 –20 –10 SENSITIVITY (V/g TEMPERATURE (°C) Y T T A

Modelllinie für dieses Datenblatt

Textversion des Dokuments

ADXL327 60 0.46 N = 8 0.45 50 0.44 ) 40 ) % g ( 0.43 V/ ( Y ION T T 30 A 0.42 IVI L U IT P S 0.41 PO 20 SEN 0.40 10 0.39 0 0.38 0.38 0.39 0.40 0.41 0.42 0.43 0.44 0.45 0.46
7
–40 –30 –20 –10 0 10 20 30 40 50 60 70 80 90
0 01 02 9- 9-
SENSITIVITY (V/g )
94
TEMPERATURE (°C)
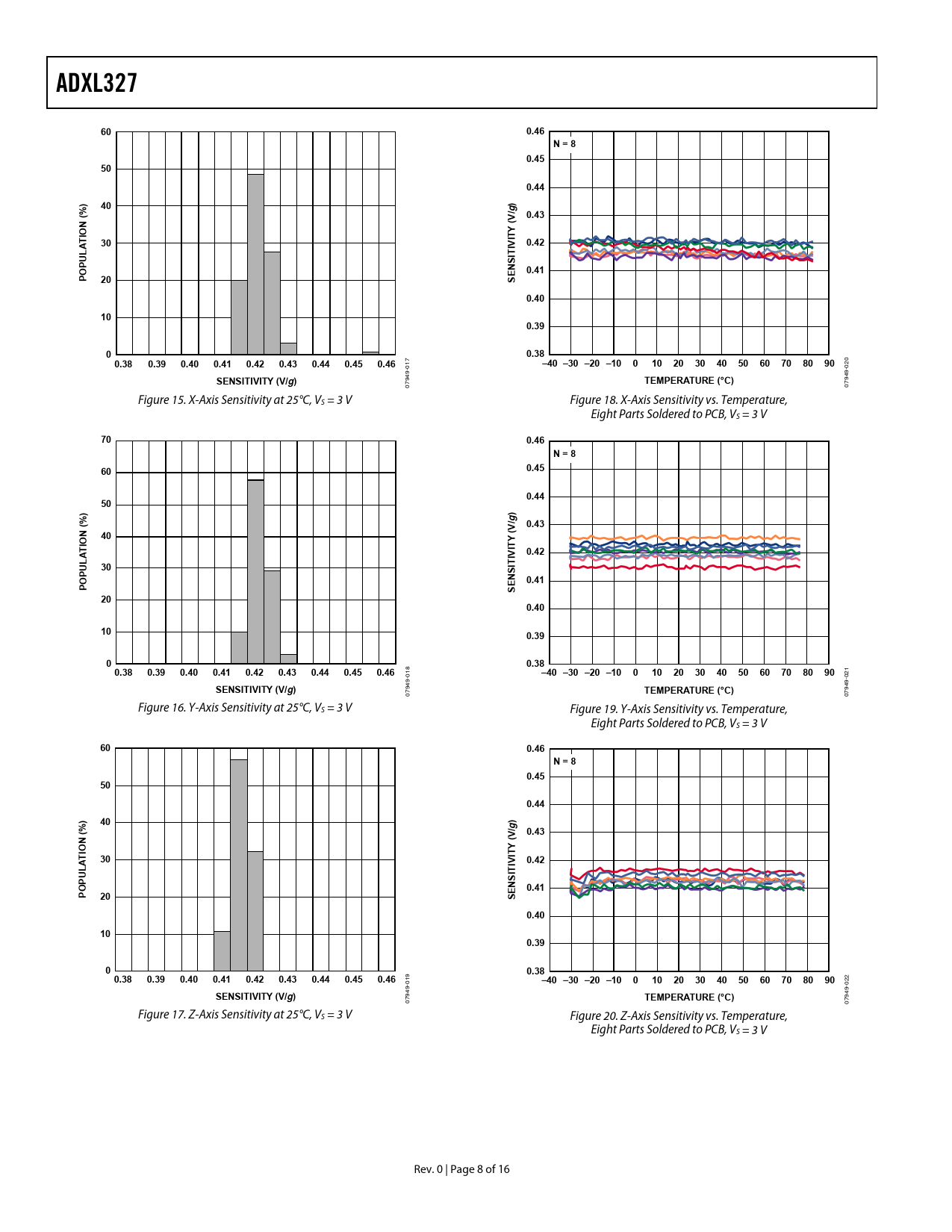
94 07 07 Figure 15. X-Axis Sensitivity at 25°C, VS = 3 V Figure 18. X-Axis Sensitivity vs. Temperature, Eight Parts Soldered to PCB, VS = 3 V
70 0.46 N = 8 60 0.45 0.44 50 ) ) % g ( 0.43 V/ 40 ( ION Y T T A 0.42 IVI L U 30 IT P S 0.41 PO SEN 20 0.40 10 0.39 0 0.38 0.38 0.39 0.40 0.41 0.42 0.43 0.44 0.45 0.46
8 21 01
–40 –30 –20 –10 0 10 20 30 40 50 60 70 80 90
0 9- 9-
SENSITIVITY (V/g )
94
TEMPERATURE (°C)
94 07 07 Figure 16. Y-Axis Sensitivity at 25°C, VS = 3 V Figure 19. Y-Axis Sensitivity vs. Temperature, Eight Parts Soldered to PCB, VS = 3 V
60 0.46 N = 8 0.45 50 0.44 ) 40 ) g (% 0.43 V/ ( Y T TION 30 A 0.42 IVI L T PU SI 0.41 PO 20 SEN 0.40 10 0.39 0 0.38 0.38 0.39 0.40 0.41 0.42 0.43 0.44 0.45 0.46
9
–40 –30 –20 –10 0 10 20 30 40 50 60 70 80 90
22 -01 0 9- 49
SENSITIVITY (V/g )
94 79
TEMPERATURE (°C)
0 07 Figure 17. Z-Axis Sensitivity at 25°C, VS = 3 V Figure 20. Z-Axis Sensitivity vs. Temperature, Eight Parts Soldered to PCB, VS = 3 V Rev. 0 | Page 8 of 16 Document Outline FEATURES APPLICATIONS GENERAL DESCRIPTION FUNCTIONAL BLOCK DIAGRAM TABLE OF CONTENTS REVISION HISTORY SPECIFICATIONS ABSOLUTE MAXIMUM RATINGS ESD CAUTION PIN CONFIGURATION AND FUNCTION DESCRIPTIONS TYPICAL PERFORMANCE CHARACTERISTICS THEORY OF OPERATION MECHANICAL SENSOR PERFORMANCE APPLICATIONS INFORMATION POWER SUPPLY DECOUPLING SETTING THE BANDWIDTH USING CX, CY, AND CZ SELF TEST DESIGN TRADE-OFFS FOR SELECTING FILTER CHARACTERISTICS: THE NOISE/BW TRADE-OFF USE WITH OPERATING VOLTAGES OTHER THAN 3 V AXES OF ACCELERATION SENSITIVITY LAYOUT AND DESIGN RECOMMENDATIONS OUTLINE DIMENSIONS ORDERING GUIDE