Datasheet ADXL327 (Analog Devices) - 8

HerstellerAnalog Devices
BeschreibungSmall, Low Power, 3-Axis ±2 g Accelerometer
Seiten / Seite17 / 8 — ADXL327. N = 8. 1.57. 1.55. 1.53. T 1.51. TI A. OU 1.49. PU PO. 1.47. …
Dateiformat / GrößePDF / 304 Kb
DokumentenspracheEnglisch

ADXL327. N = 8. 1.57. 1.55. 1.53. T 1.51. TI A. OU 1.49. PU PO. 1.47. 1.45. 1.43. –40 –30 –20 –10 0. 10 20 30 40 50 60 70 80 90 100

ADXL327 N = 8 1.57 1.55 1.53 T 1.51 TI A OU 1.49 PU PO 1.47 1.45 1.43 –40 –30 –20 –10 0 10 20 30 40 50 60 70 80 90 100

Modelllinie für dieses Datenblatt

Textversion des Dokuments

ADXL327 70 N = 8 1.57 60 1.55 50 ) 1.53 % ) ( V N 40 ( O T 1.51 U TI A TP L 30 OU 1.49 PU PO 20 1.47 10 1.45 1.43 0 –40 –30 –20 –10 0 10 20 30 40 50 60 70 80 90 100
14
–1.0 –0.8 –0.6 –0.4 –0.2 0 0.2 0.4 0.6 0.8 1.0
11 0 0 9- 9-
TEMPERATURE (°C) TEMPERATURE COEFFICIENT (m
794
g /°C)
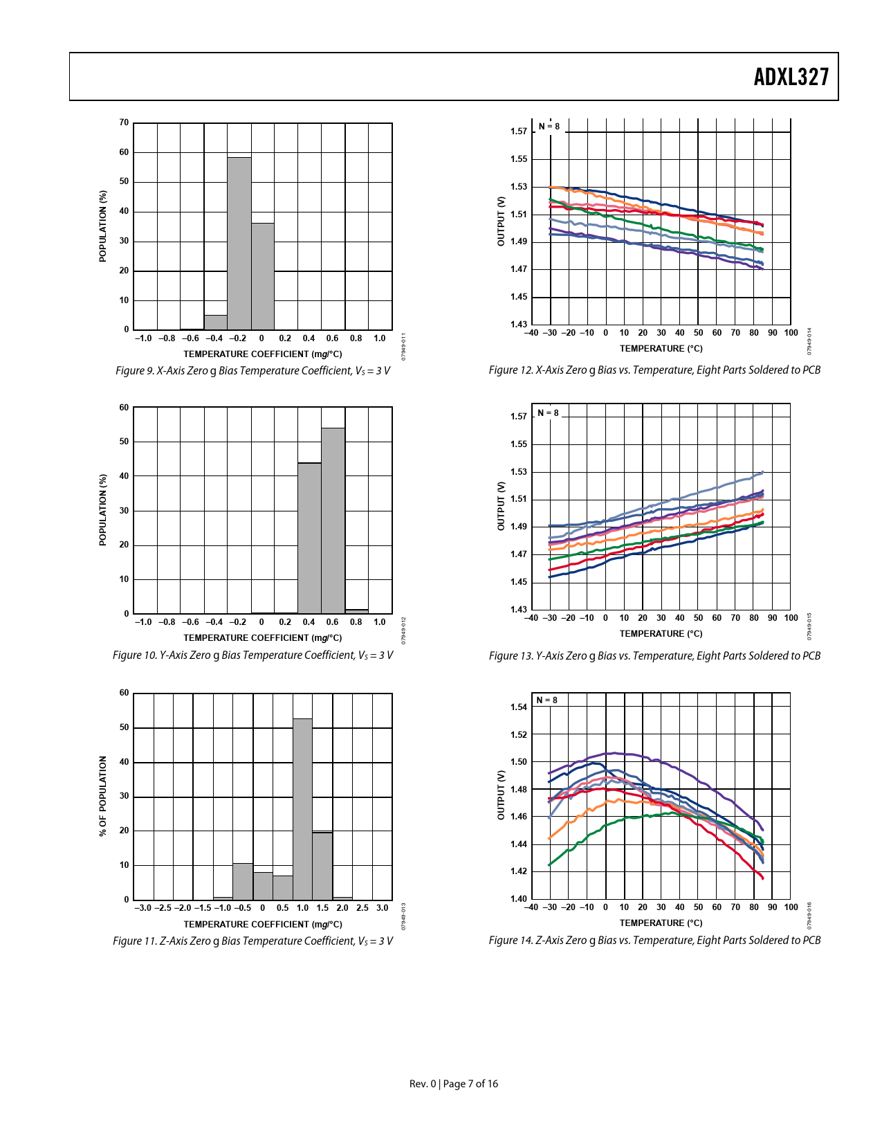
794 0 0 Figure 9. X-Axis Zero g Bias Temperature Coefficient, VS = 3 V Figure 12. X-Axis Zero g Bias vs. Temperature, Eight Parts Soldered to PCB
60 1.57 N = 8 50 1.55 ) 40 1.53 ) (% V N ( T 1.51 TIO U 30 A L TP U P OU 1.49 PO 20 1.47 10 1.45 0 1.43
5
–1.0 –0.8 –0.6 –0.4 –0.2 0 0.2 0.4 0.6 0.8 1.0
2
–40 –30 –20 –10 0 10 20 30 40 50 60 70 80 90 100
1 01 0 9- 9- 94
TEMPERATURE COEFFICIENT (m TEMPERATURE (°C) g /°C)
94 07 07 Figure 10. Y-Axis Zero g Bias Temperature Coefficient, VS = 3 V Figure 13. Y-Axis Zero g Bias vs. Temperature, Eight Parts Soldered to PCB
60 N = 8 1.54 50 1.52 N 40 O 1.50 TI ) A V L ( T 1.48 PU 30 U P T PO F OU 1.46 O 20 % 1.44 10 1.42 0 1.40 –3.0 –2.5 –2.0 –1.5 –1.0 –0.5 0 0.5 1.0 1.5 2.0 2.5 3.0
3
–40 –30 –20 –10 0 10 20 30 40 50 60 70 80 90 100
16 0 -01 9- 49
TEMPERATURE COEFFICIENT (mg /°C)
94 79
TEMPERATURE (°C)
0 07 Figure 11. Z-Axis Zero g Bias Temperature Coefficient, VS = 3 V Figure 14. Z-Axis Zero g Bias vs. Temperature, Eight Parts Soldered to PCB Rev. 0 | Page 7 of 16 Document Outline FEATURES APPLICATIONS GENERAL DESCRIPTION FUNCTIONAL BLOCK DIAGRAM TABLE OF CONTENTS REVISION HISTORY SPECIFICATIONS ABSOLUTE MAXIMUM RATINGS ESD CAUTION PIN CONFIGURATION AND FUNCTION DESCRIPTIONS TYPICAL PERFORMANCE CHARACTERISTICS THEORY OF OPERATION MECHANICAL SENSOR PERFORMANCE APPLICATIONS INFORMATION POWER SUPPLY DECOUPLING SETTING THE BANDWIDTH USING CX, CY, AND CZ SELF TEST DESIGN TRADE-OFFS FOR SELECTING FILTER CHARACTERISTICS: THE NOISE/BW TRADE-OFF USE WITH OPERATING VOLTAGES OTHER THAN 3 V AXES OF ACCELERATION SENSITIVITY LAYOUT AND DESIGN RECOMMENDATIONS OUTLINE DIMENSIONS ORDERING GUIDE