Datasheet AOK20B135D1 (Alpha & Omega) - 6

HerstellerAlpha & Omega
Beschreibung1350V, 20A Alpha IGBT with Diode
Seiten / Seite8 / 6 — TYPICAL ELECTRICAL AND THERMAL CHARACTERISTICS. itc. I (A). R (. F g. i …
Dateiformat / GrößePDF / 1.5 Mb
DokumentenspracheEnglisch

TYPICAL ELECTRICAL AND THERMAL CHARACTERISTICS. itc. I (A). R (. F g. i u. g r. u e 1. 5: S. S i. w t. i chi. h n. i g. g L. L s. o s v. v. . IC. 6: S. . R

TYPICAL ELECTRICAL AND THERMAL CHARACTERISTICS itc I (A) R ( F g i u g r u e 1 5: S S i w t i chi h n i g g L L s o s v v  IC 6: S  R

Modelllinie für dieses Datenblatt

Textversion des Dokuments


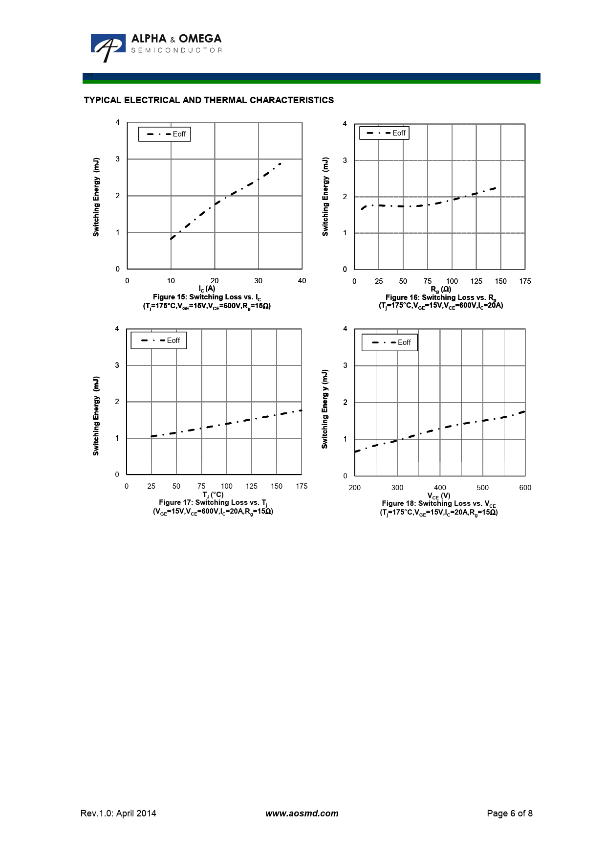
TYPICAL ELECTRICAL AND THERMAL CHARACTERISTICS
4 4 Eo E ff Eo E ff
)
3
) J
3
J J
3
(m (m y y rg rg e e n
2
n
2 2
E E g g In in h h itc itc w
1
w S
1
S S
1 0 0 0 10 20 30 40 0 25 50 75 100 125 150 175
I (A) A C C R (

) g

g Fi F g i u g r u e 1 5: S w S i w t i chi h n i g n g L o L s o s v s v . . IC Fi F g i u g r u e 1 6: S w S i w t i chi h n i g n g L o L s o s v s v . . R C g (T =1 = 75°C,V , =1 = 5V, V V , =6 = 00V, V R , =1 = 5

) (T =175°C,V =15V,V =600V,I =20A) j GE CE g

) (T =175°C,V =15V,V =600V,I =20A j GE CE g j GE G CE C C
4 4 Eo E ff Eo E ff 3 3
) ) J ) J (m (m y (m y rg
2
rg e
2
rg e n e n E E g E g in in h in h
1
itc
1 1
itc w w S w S
0 0 0 25 50 75 100 125 150 175 200 300 400 500 600
T (°C) J V (V) CE Figure 17: Switching Loss vs. Tj Figure 18: Switching Loss vs. VCE (V =15V,V =600V,I =20A,R =15

) GE CE C g (T =175°C,V =15V,I =20A,R =15

) j GE C g
Rev.1.0: April 2014
www.aosmd.com
Page 6 of 8