Datasheet AOD5B65M1 (Alpha & Omega) - 4

HerstellerAlpha & Omega
Beschreibung650V, 5A Alpha IGBT With Soft And Fast Recovery Anti-Parallel Diode
Seiten / Seite9 / 4 — TYPICAL ELECTRICAL AND THERMAL CHARACTERISTICS. E G. c n. ita c a p a. Q …
Dateiformat / GrößePDF / 1.1 Mb
DokumentenspracheEnglisch

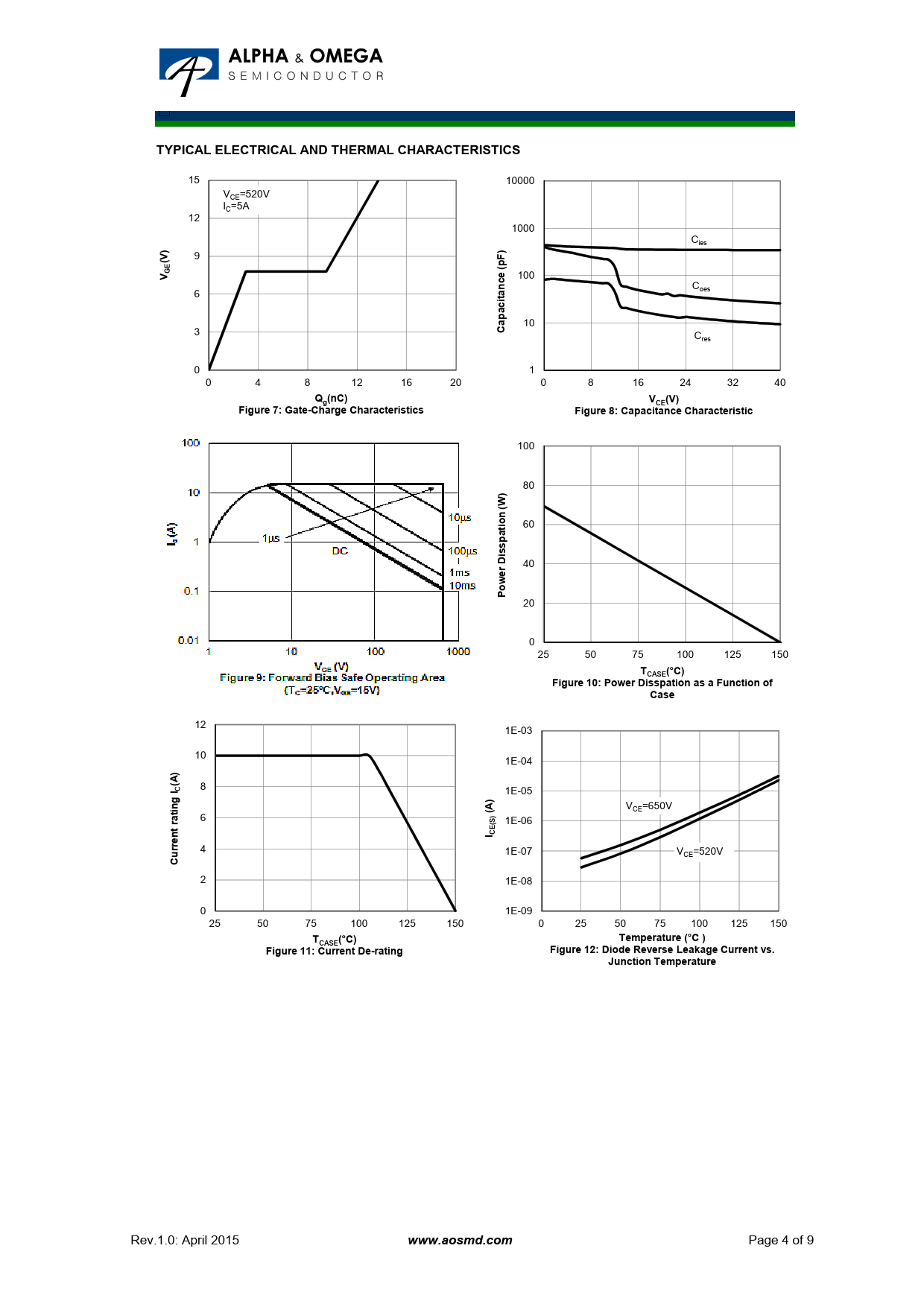
TYPICAL ELECTRICAL AND THERMAL CHARACTERISTICS. E G. c n. ita c a p a. Q (nC). (V). Figure 7: Gate-Charge Characteristics

TYPICAL ELECTRICAL AND THERMAL CHARACTERISTICS E G c n ita c a p a Q (nC) (V) Figure 7: Gate-Charge Characteristics

Modelllinie für dieses Datenblatt

Textversion des Dokuments


TYPICAL ELECTRICAL AND THERMAL CHARACTERISTICS
15 10000 V =520V CE I =5A C 12 1000 Cies
) )
9
(V F E G (p V e
100
c n
Coes 6
ita c a p a
10 3
C
Cres 0 1 0 4 8 12 16 20 0 8 16 24 32 40
Q (nC) g V (V) CE Figure 7: Gate-Charge Characteristics Figure 8: Capacitance Characteristic
100 80
) (W n
60
tio a p s is
40
r D e w o P
20 0 25 50 75 100 125 150
T (°C) CASE Figure 10: Power Disspation as a Function of Case
12 1E-03 10 1E-04
) (A
8
I C
1E-05
g )
V =650V
tin (A
CE 6
) (S
1E-06
t ra E n I C rre
4
u
1E-07 V =520V CE
C
2 1E-08 0 1E-09 25 50 75 100 125 150 0 25 50 75 100 125 150
T (°C) Temperature (°C ) CASE Figure 11: Current De-rating Figure 12: Diode Reverse Leakage Current vs. Junction Temperature
Rev.1.0: April 2015
www.aosmd.com
Page 4 of 9