Datasheet UF3C120150B7S (UnitedSiC) - 7

HerstellerUnitedSiC
Beschreibung1200V-150mW SiC Cascode
Seiten / Seite10 / 7 — 0. 0. Vgs. =. -. 5V. -2. Vgs. =. -5V. -2. Vgs. =. 0V. Vgs. =. 0V. ). A. …
Dateiformat / GrößePDF / 420 Kb
DokumentenspracheEnglisch

0. 0. Vgs. =. -. 5V. -2. Vgs. =. -5V. -2. Vgs. =. 0V. Vgs. =. 0V. ). A. -4. (. Vgs. =. 5V. A. -4. (. Vgs. =. 5V. I. ,. D. Vgs. =. 8V. I. D. Vgs. =. 8V. -6. ,. nt. -6. e. nt. r. e. r. rr. -8. Cu. -8. Cu. n. n. air. -10. air. -10. D. D. -12. -12. -14

0 0 Vgs = - 5V -2 Vgs = -5V -2 Vgs = 0V Vgs = 0V ) A -4 ( Vgs = 5V A -4 ( Vgs = 5V I , D Vgs = 8V I D Vgs = 8V -6 , nt -6 e nt r e r rr -8 Cu -8 Cu n n air -10 air -10 D D -12 -12 -14

Modelllinie für dieses Datenblatt

Textversion des Dokuments

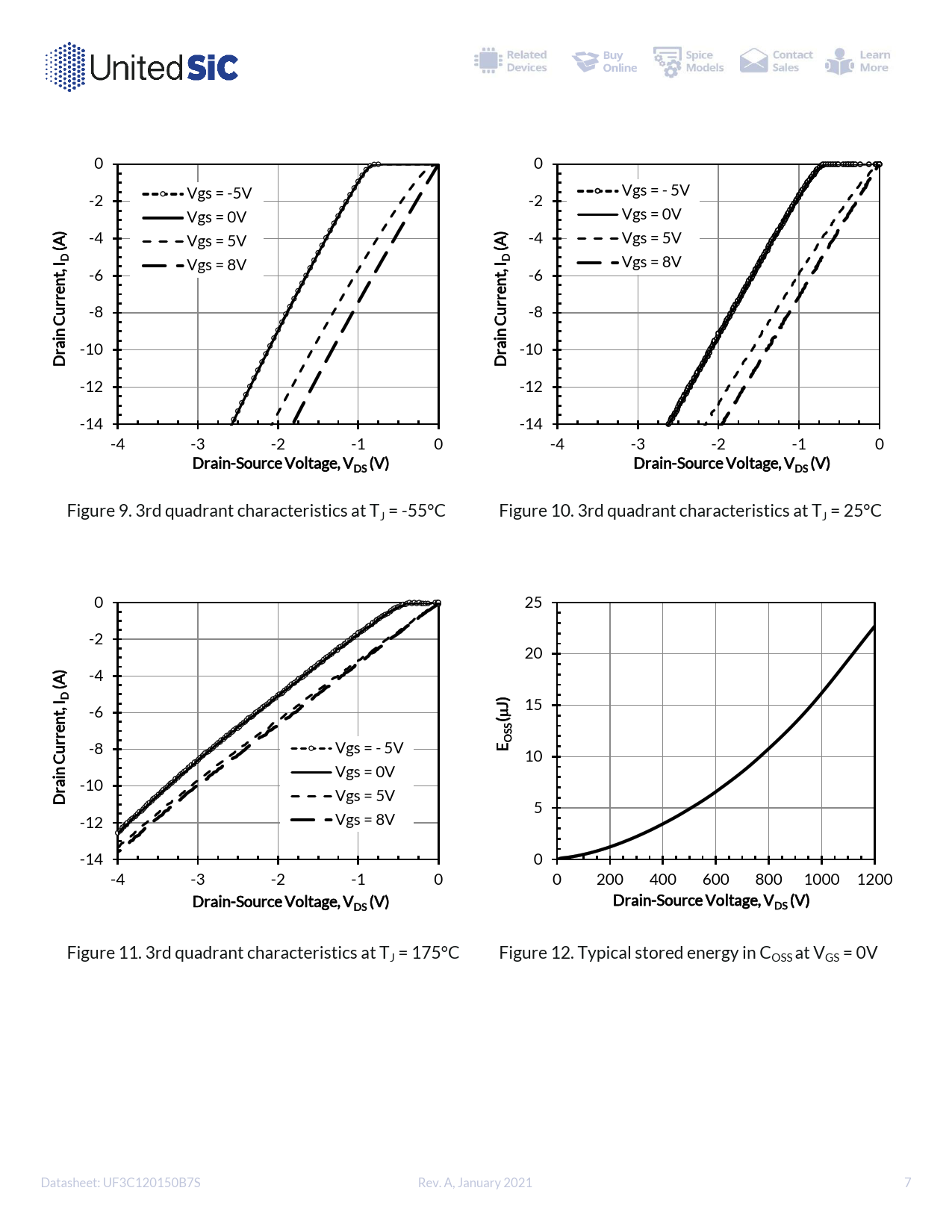
0 0 Vgs = - 5V -2 Vgs = -5V -2 Vgs = 0V Vgs = 0V ) A -4 ( Vgs = 5V A -4 ( Vgs = 5V I , D Vgs = 8V I D Vgs = 8V -6 , nt -6 e nt r e r rr -8 Cu -8 Cu n n air -10 air -10 D D -12 -12 -14 -14 -4 -3 -2 -1 0 -4 -3 -2 -1 0 Drain-Source Voltage, VDS (V) Drain-Source Voltage, VDS (V) Figure 9. 3rd quadrant characteristics at TJ = -55°C Figure 10. 3rd quadrant characteristics at TJ = 25°C 0 25 -2 20 ) A -4 ( I , D J) -6 15 nt m( e r S r S -8 Vgs = - 5V E O Cu 10 n Vgs = 0V air -10 D Vgs = 5V 5 -12 Vgs = 8V -14 0 -4 -3 -2 -1 0 0 200 400 600 800 1000 1200 Drain-Source Voltage, V Drain-Source Voltage, V DS (V) DS (V) Figure 11. 3rd quadrant characteristics at TJ = 175°C Figure 12. Typical stored energy in COSS at VGS = 0V Datasheet: UF3C120150B7S Rev. A, January 2021 7