Datasheet F3L11MR12W2M1_B65 (Infineon) - 9
| Hersteller | Infineon |
| Beschreibung | 3-Level 1200 V CoolSiC™ Module |
| Seiten / Seite | 11 / 9 — VorläufigeDaten. PreliminaryData |
| Revision | 02_01 |
| Dateiformat / Größe | PDF / 675 Kb |
| Dokumentensprache | Englisch |
VorläufigeDaten. PreliminaryData

Modelllinie für dieses Datenblatt
Textversion des Dokuments
F3L11MR12W2M1_B65
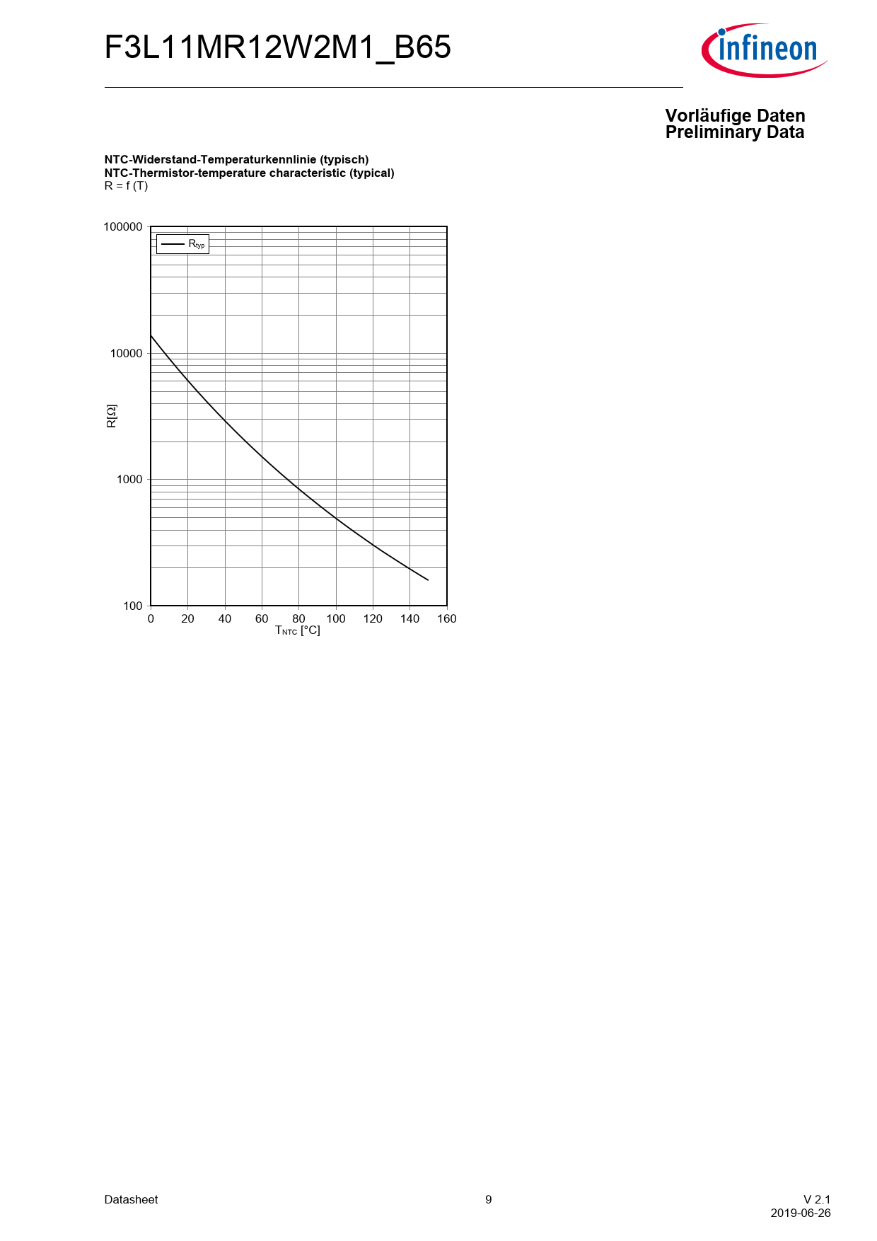
VorläufigeDaten PreliminaryData NTC-Widerstand-Temperaturkennlinie(typisch) NTC-Thermistor-temperaturecharacteristic(typical)
R=f(T) 100000 Rtyp 10000 ] Ω R[ 1000 100 0 20 40 60 80 100 120 140 160 TNTC [°C] Datasheet 9 V2.1 2019-06-26 Document Outline / MOSFET / MOSFET IGBT,3-Level / IGBT,3-Level Diode, 3-Level / Diode, 3-Level Modul / Module NTC-Widerstand / NTC-Thermistor Diagramme / charts Diagramme / charts Diagramme / charts Diagramme / charts Schaltplan / Circuit diagram Gehäuseabmessungen / Package outlines /