Datasheet S-1318 (ABLIC) - 4

HerstellerABLIC
Beschreibung5.5 V Input, 100 mA, 95 nA Super Low Current Consumption Voltage Regulator
Seiten / Seite42 / 4 — 5.5 V INPUT, 100 mA, 95 nA SUPER LOW CURRENT CONSUMPTION VOLTAGE …
Revision1.0_00
Dateiformat / GrößePDF / 729 Kb
DokumentenspracheEnglisch

5.5 V INPUT, 100 mA, 95 nA SUPER LOW CURRENT CONSUMPTION VOLTAGE REGULATOR S-1318 Series. Product Name Structure

5.5 V INPUT, 100 mA, 95 nA SUPER LOW CURRENT CONSUMPTION VOLTAGE REGULATOR S-1318 Series Product Name Structure

Modelllinie für dieses Datenblatt

Textversion des Dokuments

5.5 V INPUT, 100 mA, 95 nA SUPER LOW CURRENT CONSUMPTION VOLTAGE REGULATOR S-1318 Series
Rev.1.1_00
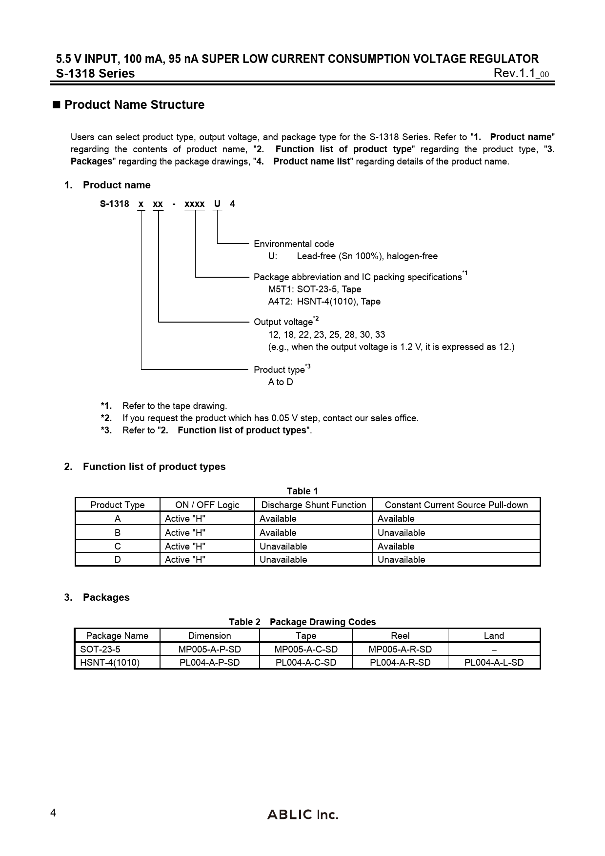
Product Name Structure
Users can select product type, output voltage, and package type for the S-1318 Series. Refer to "
1. Product name
" regarding the contents of product name, "
2. Function list of product type
" regarding the product type, "
3. Packages
" regarding the package drawings, "
4. Product name list
" regarding details of the product name.
1. Product name S-1318 x xx - xxxx U 4
Environmental code U: Lead-free (Sn 100%), halogen-free Package abbreviation and IC packing specifications
*1
M5T1: SOT-23-5, Tape A4T2: HSNT-4(1010), Tape Output voltage
*2
12, 18, 22, 23, 25, 28, 30, 33 (e.g., when the output voltage is 1.2 V, it is expressed as 12.) Product type
*3
A to D
*1.
Refer to the tape drawing.
*2.
If you request the product which has 0.05 V step, contact our sales office.
*3.
Refer to "
2. Function list of product types
".
2. Function list of product types Table 1
Product Type ON / OFF Logic Discharge Shunt Function Constant Current Source Pull-down A Active "H" Available Available B Active "H" Available Unavailable C Active "H" Unavailable Available D Active "H" Unavailable Unavailable
3. Packages Table 2 Package Drawing Codes
Package Name Dimension Tape Reel Land SOT-23-5 MP005-A-P-SD MP005-A-C-SD MP005-A-R-SD − HSNT-4(1010) PL004-A-P-SD PL004-A-C-SD PL004-A-R-SD PL004-A-L-SD 4 Document Outline 空白ページ 空白ページ 空白ページ 空白ページ