Datasheet ADIS16360, ADIS16365 (Analog Devices) - 8
| Hersteller | Analog Devices |
| Beschreibung | Six Degrees of Freedom Inertial Sensor |
| Seiten / Seite | 20 / 8 — ADIS16360/ADIS16365. Data Sheet. TYPICAL PERFORMANCE CHARACTERISTICS. … |
| Revision | E |
| Dateiformat / Größe | PDF / 389 Kb |
| Dokumentensprache | Englisch |
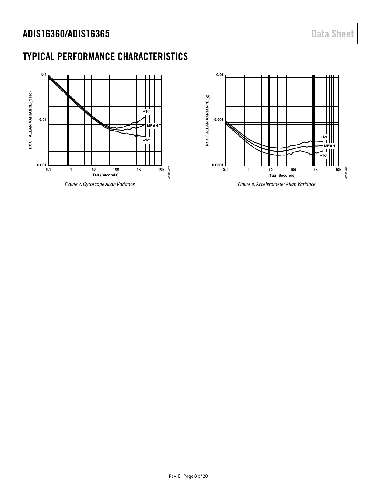
ADIS16360/ADIS16365. Data Sheet. TYPICAL PERFORMANCE CHARACTERISTICS. 0.1. 0.01. ) (g. (°/sec). +1σ. 0.001. MEAN. –1σ. 0.0001. 100. 10k

Textversion des Dokuments
ADIS16360/ADIS16365 Data Sheet TYPICAL PERFORMANCE CHARACTERISTICS 0.1 0.01 ) (g (°/sec) E E NC NC A A +1σ RI RI A A 0.01 V 0.001 V N N MEAN A A LL LL A A T +1σ T –1σ O O RO RO MEAN –1σ 0.001 0.0001 0.1 1 10 100 1k 10k
007
0.1 1 10 100 1k 10k
008
Tau (Seconds) Tau (Seconds)
07570- 07570- Figure 7. Gyroscope Allan Variance Figure 8. Accelerometer Allan Variance Rev. E | Page 8 of 20 Document Outline Features Applications General Description Functional Block Diagram Revision History Specifications Timing Specifications Timing Diagrams Absolute Maximum Ratings ESD Caution Pin Configuration and Function Descriptions Typical Performance Characteristics Theory of Operation Basic Operation Reading Sensor Data Device Configuration Memory Map Burst Read Data Collection Output Data Registers Calibration Manual Bias Calibration Gyroscope Automatic Bias Null Calibration Gyroscope Precision Automatic Bias Null Calibration Restoring Factory Calibration Linear Acceleration Bias Compensation (Gyroscope) Operational Control Global Commands Internal Sample Rate Power Management Sensor Bandwidth Digital Filtering Dynamic Range Input/Output Functions General-Purpose I/O Input Clock Configuration Data Ready I/O Indicator Auxiliary DAC Diagnostics Self-Test Memory Test Status Alarm Registers Product Identification Applications Information Installation/Handling Gyroscope Bias Optimization Input ADC Channel Interface Printed Circuit Board (PCB) Outline Dimensions Ordering Guide