Datasheet AD8591, AD8592, AD8594 (Analog Devices) - 6

HerstellerAnalog Devices
BeschreibungCMOS Single-Supply, Rail-to-Rail Input/Output Operational Amplifiers with Shutdown
Seiten / Seite16 / 6 — AD8591/AD8592/AD8594. TYPICAL PERFORMANCE CHARACTERISTICS. 0.8. VS = …
RevisionB
Dateiformat / GrößePDF / 411 Kb
DokumentenspracheEnglisch

AD8591/AD8592/AD8594. TYPICAL PERFORMANCE CHARACTERISTICS. 0.8. VS = 2.7V. A = 25°C. 0.7. A) m. ) 100. 0.6. R ( IE. (m E. IF L. 0.5. AG T. SOURCE

AD8591/AD8592/AD8594 TYPICAL PERFORMANCE CHARACTERISTICS 0.8 VS = 2.7V A = 25°C 0.7 A) m ) 100 0.6 R ( IE (m E IF L 0.5 AG T SOURCE

Modelllinie für dieses Datenblatt

Textversion des Dokuments

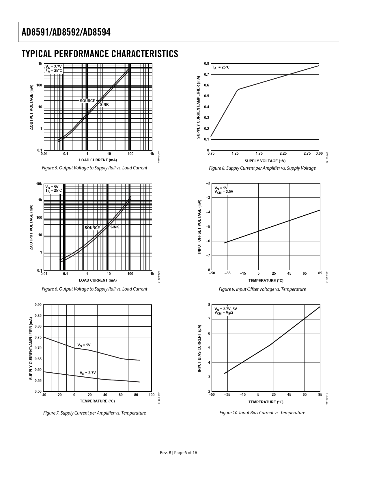
AD8591/AD8592/AD8594 TYPICAL PERFORMANCE CHARACTERISTICS 1k 0.8 VS = 2.7V T T A = 25°C A = 25°C 0.7 A) m ) 100 V 0.6 R ( IE (m E IF L 0.5 P AG T SOURCE M L SINK /A O 10 0.4 V NT UT P 0.3 UT CURRE O Y Δ 1 L 0.2 P UP S 0.1 0.1 0 0.01 0.1 1 10 100 1k
05 0
0.75 1.25 1.75 2.25 2.75 3.00
08 0 6- 6-
LOAD CURRENT (mA)
10
SUPPLY VOLTAGE (±V)
10 01 01 Figure 5. Output Voltage to Supply Rail vs. Load Current Figure 8. Supply Current per Amplifier vs. Supply Voltage
10k –2 VS = 5V V T S = 5V A = 25°C VCM = 2.5V –3 1k ) V ) V m m E ( ( G –4 A GE 100 T L LTA O SOURCE SINK VO –5 V ET T 10 S U F P F T O –6 T OU Δ PU 1 IN –7 0.1 –8 0.01 0.1 1 10 100 1k
6
–50 –35 –15 5 25 45 65 85
9 -00 00 6-
LOAD CURRENT (mA)
106 1
TEMPERATURE (°C)
10 0 01 Figure 6. Output Voltage to Supply Rail vs. Load Current Figure 9. Input Offset Voltage vs. Temperature
0.90 8 VS = 2.7V, 5V V 0.85 CM = VS/2 A) 7 m 0.80 R ( A) IE p ( IF 6 L 0.75 NT P E /AM V 0.70 S = 5V 5 NT CURR E S IA 0.65 B CURR 4 Y UT L 0.60 P INP VS = 2.7V UP S 3 0.55 0.50 2 –40 –20 0 20 40 60 80 100
7 0 00
–50 –35 –15 5 25 45 65 85
01 6- 6-
TEMPERATURE (°C)
10
TEMPERATURE (°C)
10 01 01 Figure 7. Supply Current per Amplifier vs. Temperature Figure 10. Input Bias Current vs. Temperature Rev. B | Page 6 of 16 Document Outline FEATURES APPLICATIONS GENERAL DESCRIPTION PIN CONFIGURATIONS TABLE OF CONTENTS REVISION HISTORY SPECIFICATIONS ELECTRICAL CHARACTERISTICS ABSOLUTE MAXIMUM RATINGS THERMAL RESISTANCE ESD CAUTION TYPICAL PERFORMANCE CHARACTERISTICS THEORY OF OPERATION INPUT VOLTAGE PROTECTION OUTPUT PHASE REVERSAL OUTPUT SHORT-CIRCUIT PROTECTION POWER DISSIPATION CAPACITIVE LOADING PC98-COMPLIANT HEADPHONE/SPEAKER AMPLIFIER A COMBINED MICROPHONE AND SPEAKER AMPLIFIER FOR CELLPHONE AND PORTABLE HEADSETS AN INEXPENSIVE SAMPLE-AND-HOLD CIRCUIT DIRECT ACCESS ARRANGEMENT FOR PCMCIA MODEMS (TELEPHONE LINE INTERFACE) SINGLE-SUPPLY DIFFERENTIAL LINE DRIVER OUTLINE DIMENSIONS ORDERING GUIDE