Datasheet AD8591, AD8592, AD8594 (Analog Devices) - 7

HerstellerAnalog Devices
BeschreibungCMOS Single-Supply, Rail-to-Rail Input/Output Operational Amplifiers with Shutdown
Seiten / Seite16 / 7 — AD8591/AD8592/AD8594. VS = 5V. S = 2.7V, 5V. RL = NO LOAD. CM = VS/2. A = …
RevisionB
Dateiformat / GrößePDF / 411 Kb
DokumentenspracheEnglisch

AD8591/AD8592/AD8594. VS = 5V. S = 2.7V, 5V. RL = NO LOAD. CM = VS/2. A = 25°C. ) A p ( T. es). 135. ( T. 180. O T. HAS. –2–50. –35. –15. 10k. 100k. 10M

AD8591/AD8592/AD8594 VS = 5V S = 2.7V, 5V RL = NO LOAD CM = VS/2 A = 25°C ) A p ( T es) 135 ( T 180 O T HAS –2–50 –35 –15 10k 100k 10M

Modelllinie für dieses Datenblatt

Textversion des Dokuments

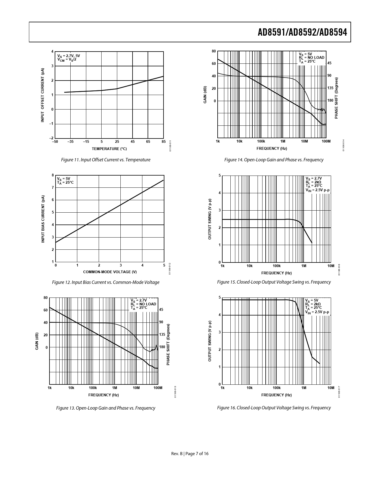
AD8591/AD8592/AD8594 4 80 V VS = 5V S = 2.7V, 5V V RL = NO LOAD CM = VS/2 T 60 A = 25°C 45 3 ) A p ( T 40 90 2 EN es) R re R ) U B 20 135 eg d D C 1 ( ( T ET IN S 180 IF F 0 GA H F S 0 E O T HAS PU P IN –1 –2–50 –35 –15 5 25 45 65 85
4 11
1k 10k 100k 1M 10M 100M
0 01 6- 6-
TEMPERATURE (°C)
10 110
FREQUENCY (Hz)
0 01 Figure 11. Input Offset Current vs. Temperature Figure 14. Open-Loop Gain and Phase vs. Frequency
8 5 VS = 5V VS = 2.7V TA = 25°C RL = 2kΩ 7 TA = 25°C V 4 IN = 2.5V p-p A) p 6 ) ( -p NT p V 3 5 RRE G ( IN CU W 4 S AS T U 2 BI TP UT 3 OU INP 1 2 1 0 0 1 2 3 4 5
2
1k 10k 100k 1M 10M
-01 16 0 06 6-
COMMON-MODE VOLTAGE (V)
11 10 0
FREQUENCY (Hz)
01 Figure 12. Input Bias Current vs. Common-Mode Voltage Figure 15. Closed-Loop Output Voltage Swing vs. Frequency
80 5 VS = 2.7V VS = 5V RL = NO LOAD RL = 2kΩ T T 60 A = 25°C 45 A = 25°C V 4 IN = 2.5V p-p 40 90 p) p- rees) V ) ( 3 B 20 135 eg G d D ( ( IN T IN W IF S 0 180 GA H T S U 2 E TP U HAS O P 1 0 1k 10k 100k 1M 10M 100M
3
1k 10k 100k 1M 10M
17 01 0 6- 6-
FREQUENCY (Hz)
10
FREQUENCY (Hz)
10 01 01 Figure 13. Open-Loop Gain and Phase vs. Frequency Figure 16. Closed-Loop Output Voltage Swing vs. Frequency Rev. B | Page 7 of 16 Document Outline FEATURES APPLICATIONS GENERAL DESCRIPTION PIN CONFIGURATIONS TABLE OF CONTENTS REVISION HISTORY SPECIFICATIONS ELECTRICAL CHARACTERISTICS ABSOLUTE MAXIMUM RATINGS THERMAL RESISTANCE ESD CAUTION TYPICAL PERFORMANCE CHARACTERISTICS THEORY OF OPERATION INPUT VOLTAGE PROTECTION OUTPUT PHASE REVERSAL OUTPUT SHORT-CIRCUIT PROTECTION POWER DISSIPATION CAPACITIVE LOADING PC98-COMPLIANT HEADPHONE/SPEAKER AMPLIFIER A COMBINED MICROPHONE AND SPEAKER AMPLIFIER FOR CELLPHONE AND PORTABLE HEADSETS AN INEXPENSIVE SAMPLE-AND-HOLD CIRCUIT DIRECT ACCESS ARRANGEMENT FOR PCMCIA MODEMS (TELEPHONE LINE INTERFACE) SINGLE-SUPPLY DIFFERENTIAL LINE DRIVER OUTLINE DIMENSIONS ORDERING GUIDE