Datasheet AOK40B65M3 (Alpha & Omega) - 6
| Hersteller | Alpha & Omega |
| Beschreibung | 650 V, 40 A Alpha IGBT with soft and fast recovery anti-parallel diode |
| Seiten / Seite | 9 / 6 — TYPICAL ELECTRICAL AND THERMAL CHARACTERISTICS. itc. I (A). R (. Figure … |
| Dateiformat / Größe | PDF / 1.0 Mb |
| Dokumentensprache | Englisch |
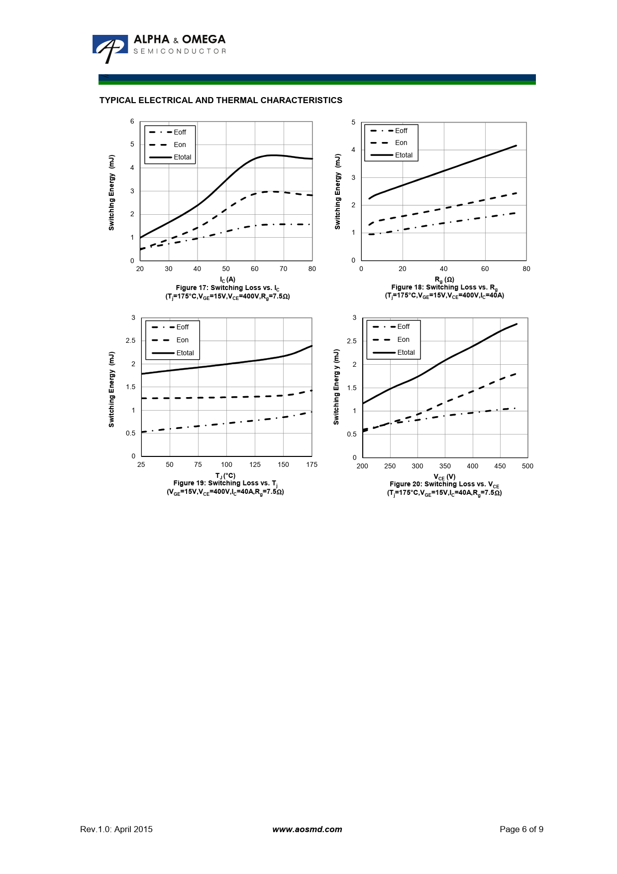
TYPICAL ELECTRICAL AND THERMAL CHARACTERISTICS. itc. I (A). R (. Figure 17: Switching Loss vs. I. Figure 18: Switching Loss vs. R

Modelllinie für dieses Datenblatt
Textversion des Dokuments
≤
TYPICAL ELECTRICAL AND THERMAL CHARACTERISTICS
6 5 Eoff Eoff 5 Eon Eon 4
) )
Etotal
J
Etotal
J
4
(m (m y y
3
rg rg e e n
3
n E E g g In in
2
h h
2
itc itc w w S S
1 1 0 0 20 30 40 50 60 70 80 0 20 40 60 80
I (A) R (
Ω
) C g Figure 17: Switching Loss vs. I Figure 18: Switching Loss vs. R C g (T =175°C,V =15V,V =400V,R =7.5
Ω
) (T =175°C,V =15V,V =400V,I =40A) j GE CE g j GE CE C
3 3 Eoff Eoff 2.5 Eon 2.5 Eon
) ) J
Etotal
J
Etotal 2
(m (m
2
y y rg rg e e n n
1.5 1.5
E E g g in in h h
1 1
itc itc w w S S
0.5 0.5 0 0 25 50 75 100 125 150 175 200 250 300 350 400 450 500
T (°C) J V (V) CE Figure 19: Switching Loss vs. Tj Figure 20: Switching Loss vs. VCE (V =15V,V =400V,I =40A,R =7.5
Ω
) GE CE C g (T =175°C,V =15V,I =40A,R =7.5
Ω
) j GE C g
Rev.1.0: April 2015
www.aosmd.com
Page 6 of 9