Datasheet AOK40B65M3 (Alpha & Omega) - 4

HerstellerAlpha & Omega
Beschreibung650 V, 40 A Alpha IGBT with soft and fast recovery anti-parallel diode
Seiten / Seite9 / 4 — TYPICAL ELECTRICAL AND THERMAL CHARACTERISTICS. E G. c n. ita c. a p a. Q …
Dateiformat / GrößePDF / 1.0 Mb
DokumentenspracheEnglisch

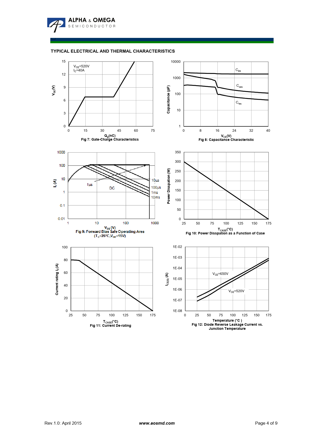
TYPICAL ELECTRICAL AND THERMAL CHARACTERISTICS. E G. c n. ita c. a p a. Q (nC). (V). Fig 7: Gate-Charge Characteristics

TYPICAL ELECTRICAL AND THERMAL CHARACTERISTICS E G c n ita c a p a Q (nC) (V) Fig 7: Gate-Charge Characteristics

Modelllinie für dieses Datenblatt

Textversion des Dokuments


TYPICAL ELECTRICAL AND THERMAL CHARACTERISTICS
15 10000 V =520V CE I =40A C C ies 12 1000
) )
C 9 oes
(V F E G (p V e
100
c n
6
ita c
Cres
a p a
10 3
C
0 1 0 15 30 45 60 75 0 8 16 24 32 40
Q (nC) g V (V) CE Fig 7: Gate-Charge Characteristics Fig 8: Capacitance Characteristic
350 300
)
250
(W n tio
200
a p s is
150
r D e w o
100
P
50 0 25 50 75 100 125 150 175
T (°C) CASE Fig 10: Power Disspation as a Function of Case
100 1E-02 1E-03 80
) (A
1E-04
I C g
60
)
V =650V CE
tin (A )
1E-05
(S t ra E n
40
I C rre
1E-06
u
V =520V CE
C
20 1E-07 0 1E-08 25 50 75 100 125 150 175 0 25 50 75 100 125 150 175
T (°C) Temperature (°C ) CASE Fig 11: Current De-rating Fig 12: Diode Reverse Leakage Current vs. Junction Temperature
Rev.1.0: April 2015
www.aosmd.com
Page 4 of 9