Datasheet NCL30000 (ON Semiconductor) - 8
| Hersteller | ON Semiconductor |
| Beschreibung | Power Factor Corrected Dimmable LED Driver |
| Seiten / Seite | 25 / 8 — NCL30000. TYPICAL CHARACTERISTICS. Figure 3. Overvoltage Detect Threshold … |
| Dateiformat / Größe | PDF / 394 Kb |
| Dokumentensprache | Englisch |
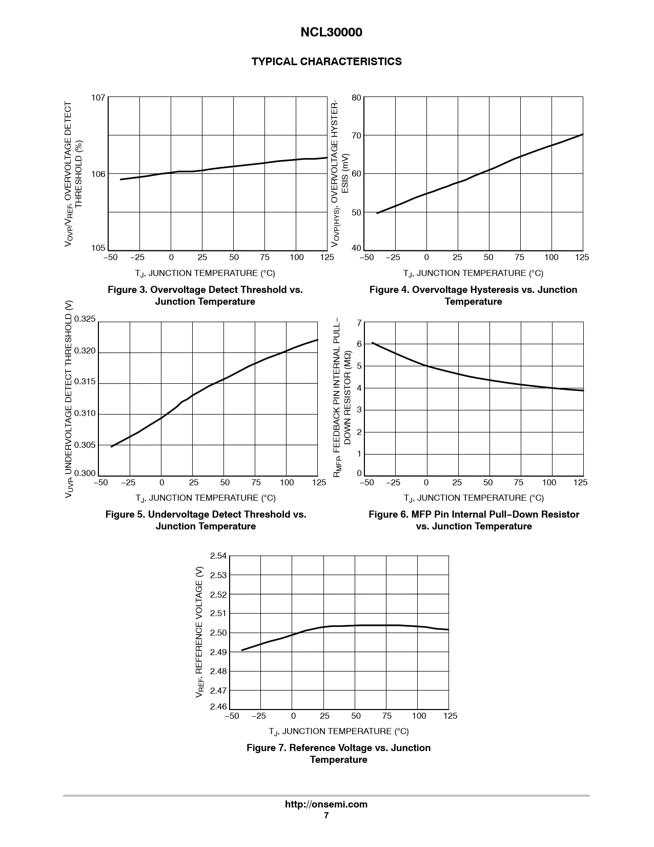
NCL30000. TYPICAL CHARACTERISTICS. Figure 3. Overvoltage Detect Threshold vs. Figure 4. Overvoltage Hysteresis vs. Junction

Modelllinie für dieses Datenblatt
Textversion des Dokuments
NCL30000 TYPICAL CHARACTERISTICS
107 80 70 TAGE DETECT TAGE HYSTER- VOL 106 60 VOL ESIS (mV) , OVER THRESHOLD (%) , OVER 50 REF/V HYS) P VP( V OV 105 V O 40 −50 −25 0 25 50 75 100 125 −50 −25 0 25 50 75 100 125 TJ, JUNCTION TEMPERATURE (C) TJ, JUNCTION TEMPERATURE (C)
Figure 3. Overvoltage Detect Threshold vs. Figure 4. Overvoltage Hysteresis vs. Junction Junction Temperature Temperature
0.325 − 7 6 0.320 ) W 5 0.315 OR (M 4 0.310 3 TAGE DETECT THRESHOLD (V) 2 VOL 0.305 DOWN RESIST , FEEDBACK PIN INTERNAL PULL 1 0.300 MFPR 0 , UNDER −50 −25 0 25 50 75 100 125 −50 −25 0 25 50 75 100 125 V UVP TJ, JUNCTION TEMPERATURE (C) TJ, JUNCTION TEMPERATURE (C)
Figure 5. Undervoltage Detect Threshold vs. Figure 6. MFP Pin Internal Pull−Down Resistor Junction Temperature vs. Junction Temperature
2.54 2.53 2.52 TAGE (V) 2.51 2.50 2.49 2.48 , REFERENCE VOL 2.47 V REF 2.46−50 −25 0 25 50 75 100 125 TJ, JUNCTION TEMPERATURE (C)
Figure 7. Reference Voltage vs. Junction Temperature http://onsemi.com 7