Datasheet TL431KB (MCC) - 6

HerstellerMCC
BeschreibungProgrammable Precision Regulator
Seiten / Seite7 / 6 — TL431KB. Curve Characteristics. Change in Refe. rence Input. Voltage …
Dateiformat / GrößePDF / 647 Kb
DokumentenspracheEnglisch

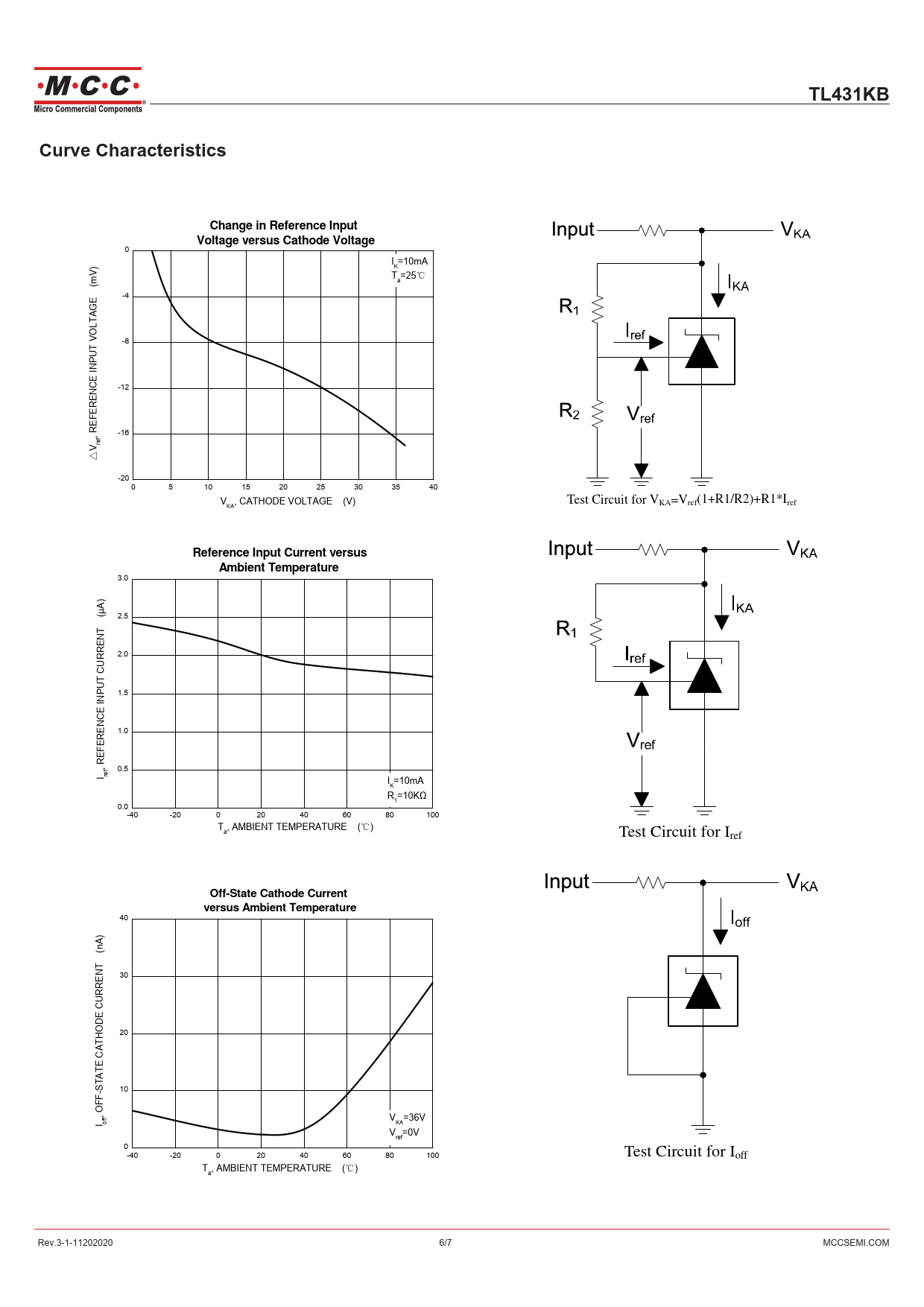
TL431KB. Curve Characteristics. Change in Refe. rence Input. Voltage versus Cathode Voltage. Reference Input Current versus

TL431KB Curve Characteristics Change in Refe rence Input Voltage versus Cathode Voltage Reference Input Current versus

Modelllinie für dieses Datenblatt

Textversion des Dokuments

TL431KB Curve Characteristics Change in Refe rence Input Voltage versus Cathode Voltage
0 I =10mA K T =25℃ a -4 LTAGE (mV) VO -8 -12 -16 , REFERENCE INPUT V ref △ -20 0 5 10 15 20 25 30 35 40 V , CATHODE VOLTAGE (V) Test Circuit for V KA KA=Vref(1+R1/R2)+R1*Iref
Reference Input Current versus Ambient Te mperature
3.0 2.5 2.0 1.5 1.0 , REFERENCE INPUT CURRENT (μA) 0.5 I ref I =10mA K R =10KΩ 1 0.0-40 -20 0 0 2 40 0 6 80 100 T , AMBIENT TEMPERATURE (℃) a Test Circuit for Iref
Off-State Cathode Current versus Ambient Temperature
40 30 20 10 , OFF-STATE CATHODE CURRENT (nA) V =36V KA I off V =0V ref 0-40 -20 0 0 2 40 0 6 80 100 Test Circuit for Ioff T , AMBIENT TEMPERATURE (℃) a Rev.3-1-11202020 6/7 MCCSEMI.COM Document Outline 空白页面 空白页面 空白页面 空白页面