Datasheet ADP3051 (Analog Devices) - 5

HerstellerAnalog Devices
Beschreibung500 mA PWM Step-Down DC-DC with Synchronous Rectifier
Seiten / Seite16 / 5 — ADP3051. PIN CONFIGURATION AND FUNCTION DESCRIPTIONS. NC 1. 8 GND. PGND …
Dateiformat / GrößePDF / 441 Kb
DokumentenspracheEnglisch

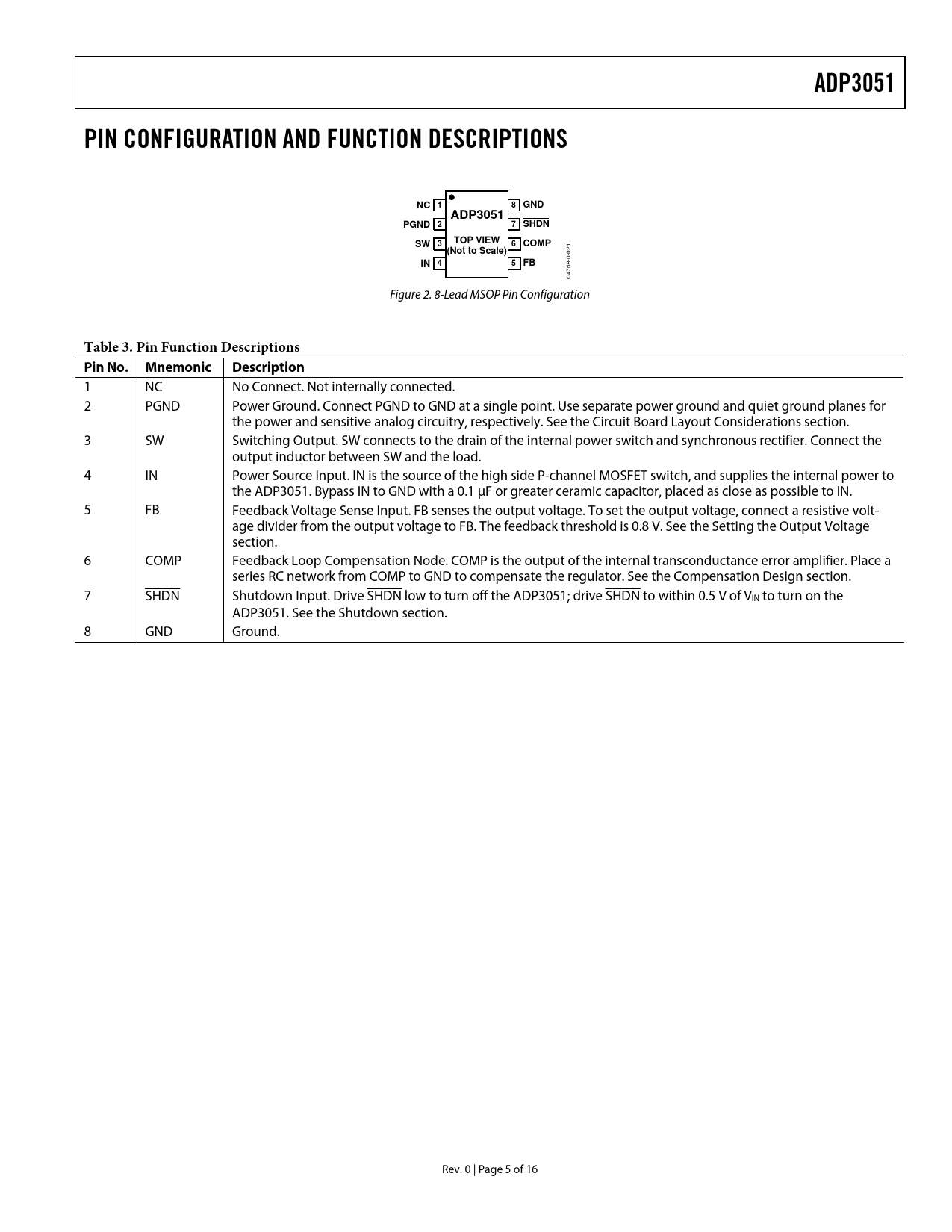
ADP3051. PIN CONFIGURATION AND FUNCTION DESCRIPTIONS. NC 1. 8 GND. PGND 2. 7 SHDN. TOP VIEW. SW 3. 6 COMP. (Not to Scale). IN 4. 5 FB

ADP3051 PIN CONFIGURATION AND FUNCTION DESCRIPTIONS NC 1 8 GND PGND 2 7 SHDN TOP VIEW SW 3 6 COMP (Not to Scale) IN 4 5 FB

Modelllinie für dieses Datenblatt

Textversion des Dokuments

link to page 13 link to page 11 link to page 12 link to page 10
ADP3051 PIN CONFIGURATION AND FUNCTION DESCRIPTIONS NC 1 8 GND ADP3051 PGND 2 7 SHDN TOP VIEW SW 3 6 COMP (Not to Scale) IN 4 5 FB
04768-0-021 Figure 2. 8-Lead MSOP Pin Configuration
Table 3. Pin Function Descriptions Pin No. Mnemonic Description
1 NC No Connect. Not internally connected. 2 PGND Power Ground. Connect PGND to GND at a single point. Use separate power ground and quiet ground planes for the power and sensitive analog circuitry, respectively. See the Circuit Board Layout Considerations section. 3 SW Switching Output. SW connects to the drain of the internal power switch and synchronous rectifier. Connect the output inductor between SW and the load. 4 IN Power Source Input. IN is the source of the high side P-channel MOSFET switch, and supplies the internal power to the ADP3051. Bypass IN to GND with a 0.1 µF or greater ceramic capacitor, placed as close as possible to IN. 5 FB Feedback Voltage Sense Input. FB senses the output voltage. To set the output voltage, connect a resistive volt- age divider from the output voltage to FB. The feedback threshold is 0.8 V. See the Setting the Output Voltage section. 6 COMP Feedback Loop Compensation Node. COMP is the output of the internal transconductance error amplifier. Place a series RC network from COMP to GND to compensate the regulator. See the Compensation Design section. 7 SHDN Shutdown Input. Drive SHDN low to turn off the ADP3051; drive SHDN to within 0.5 V of VIN to turn on the ADP3051. See the Shutdown section. 8 GND Ground. Rev. 0 | Page 5 of 16 Document Outline FEATURES APPLICATIONS GENERAL DESCRIP TYPICAL APPLICATION CIRCUIT TABLE OF CONTENTS SPECIFICATIONS ABSOLUTE MAXIMUM RATINGS ESD CAUTION PIN CONFIGURATION AND FUNCTION DESCRIPTIONS TYPICAL PERFORMANCE CHARACTERISTICS THEORY OF OPERATION PWM CONTROL MODE TRI-MODE OPERATION 100% DUTY CYCLE OPERATION SHUTDOWN UNDERVOLTAGE LOCKOUT (UVLO) SHORT-CIRCUIT PROTECTION AND RECOVERY APPLICATIONS RECOMMENDED COMPONENTS DESIGN PROCEDURE Setting the Output Voltage Inductor Selection OUTPUT CAPACITOR SELECTION Input Capacitor Selection Compensation Design CIRCUIT BOARD LAYOUT CONSIDERATIONS OUTLINE DIMENSIONS ORDERING GUIDE