Datasheet AL5873Q (Diodes) - 3
| Hersteller | Diodes |
| Beschreibung | 55V/250mA THREE-CHANNEL LINEAR LED DRIVER |
| Seiten / Seite | 16 / 3 — AL5873Q. Functional Block Diagram. T A M. O F. E C. V D A. Figure 3. … |
| Dateiformat / Größe | PDF / 871 Kb |
| Dokumentensprache | Englisch |
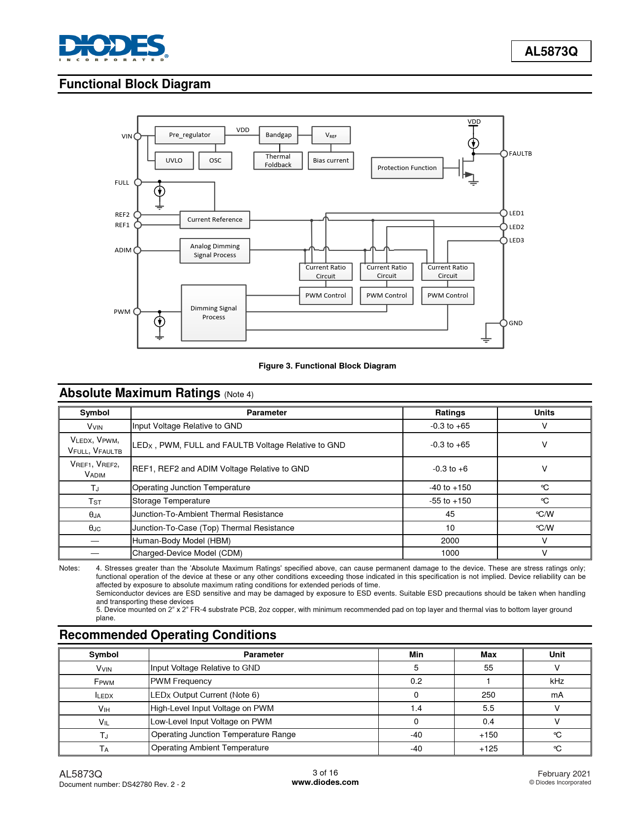
AL5873Q. Functional Block Diagram. T A M. O F. E C. V D A. Figure 3. Functional Block Diagram. Absolute Maximum Ratings. Symbol

Modelllinie für dieses Datenblatt
Textversion des Dokuments
AL5873Q Functional Block Diagram
VDD VDD VIN Pre_regulator Bandgap VREF FAULTB
N
Thermal UVLO OSC Bias current Foldback Protection Function
IO
FULL
T A M
LED1 REF2
R
Current Reference REF1 LED2
O F
LED3 Analog Dimming ADIM Signal Process
IN
Current Ratio Current Ratio Current Ratio
D
Circuit Circuit Circuit
E C
PWM Control PWM Control PWM Control
N
Dimming Signal PWM
A
Process GND
V D A Figure 3. Functional Block Diagram Absolute Maximum Ratings
(Note 4)
Symbol Parameter Ratings Units
VVIN Input Voltage Relative to GND -0.3 to +65 V VLEDX, VPWM, LEDX , PWM, FULL and FAULTB Voltage Relative to GND -0.3 to +65 V VFULL, VFAULTB VREF1, VREF2, REF1, REF2 and ADIM Voltage Relative to GND -0.3 to +6 V VADIM TJ Operating Junction Temperature -40 to +150 °C TST Storage Temperature -55 to +150 °C θJA Junction-To-Ambient Thermal Resistance 45 °C/W θJC Junction-To-Case (Top) Thermal Resistance 10 °C/W — Human-Body Model (HBM) 2000 V — Charged-Device Model (CDM) 1000 V Notes: 4. Stresses greater than the 'Absolute Maximum Ratings' specified above, can cause permanent damage to the device. These are stress ratings only; functional operation of the device at these or any other conditions exceeding those indicated in this specification is not implied. Device reliability can be affected by exposure to absolute maximum rating conditions for extended periods of time. Semiconductor devices are ESD sensitive and may be damaged by exposure to ESD events. Suitable ESD precautions should be taken when handling and transporting these devices 5. Device mounted on 2” x 2” FR-4 substrate PCB, 2oz copper, with minimum recommended pad on top layer and thermal vias to bottom layer ground plane.
Recommended Operating Conditions Symbol Parameter Min Max Unit
VVIN Input Voltage Relative to GND 5 55 V FPWM PWM Frequency 0.2 1 kHz ILEDX LEDX Output Current (Note 6) 0 250 mA VIH High-Level Input Voltage on PWM 1.4 5.5 V VIL Low-Level Input Voltage on PWM 0 0.4 V TJ Operating Junction Temperature Range -40 +150 °C TA Operating Ambient Temperature -40 +125 °C AL5873Q 3 of 16 February 2021 Document number: DS42780 Rev. 2 - 2
www.diodes.com
© Diodes Incorporated