Datasheet HSMS-280x (Avago Technologies) - 4
| Hersteller | Avago Technologies |
| Beschreibung | Surface Mount RF Schottky Barrier Diodes |
| Seiten / Seite | 10 / 4 — Typical Performance, TC = 25°C (unless otherwise noted), Single Diode. … |
| Dateiformat / Größe | PDF / 165 Kb |
| Dokumentensprache | Englisch |
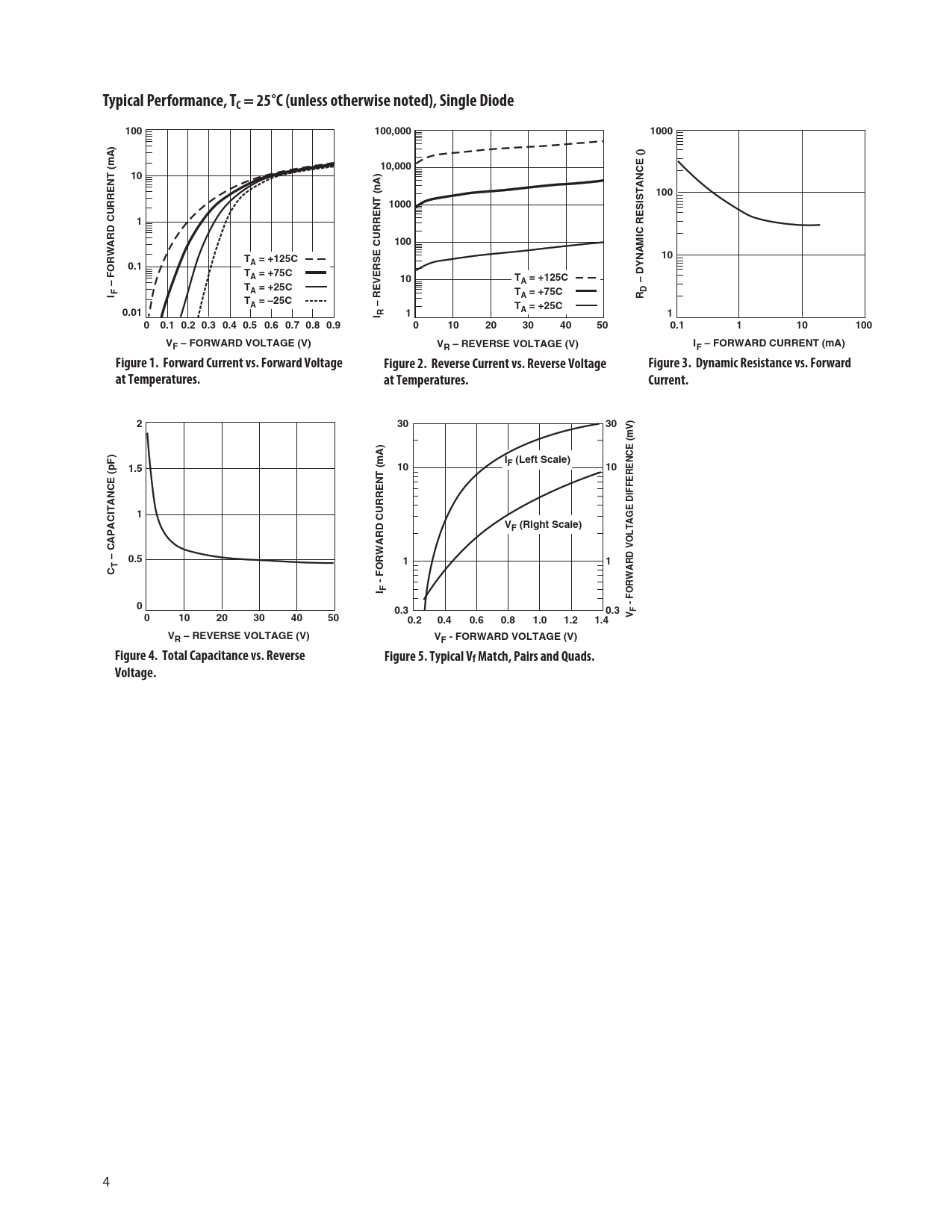
Typical Performance, TC = 25°C (unless otherwise noted), Single Diode. 100. 100,000. 1000. 10,000. T = +125C. 0.1. T = +75C

Modelllinie für dieses Datenblatt
Textversion des Dokuments
Typical Performance, TC = 25°C (unless otherwise noted), Single Diode 100 100,000 1000 10,000 10 100 1000 1 100 T = +125C 10 0.1 A T = +75C A 10 T = +125C A – FORWARD CURRENT (mA) – DYNAMIC RESISTANCE () T = +25C D I F A T = +75C A R T = –25C A – REVERSE CURRENT (nA) T = +25C 0.01 A I R 1 1 0 0.1 0.2 0.3 0.4 0.5 0.6 0.7 0.8 0.9 0 10 20 30 40 50 0.1 1 10 100 VF – FORWARD VOLTAGE (V) VR – REVERSE VOLTAGE (V) IF – FORWARD CURRENT (mA) Figure 1. Forward Current vs. Forward Voltage Figure 2. Reverse Current vs. Reverse Voltage Figure 3. Dynamic Resistance vs. Forward at Temperatures. at Temperatures. Current. 2 30 30 IF (Left Scale) 1.5 10 10 1 VF (Right Scale) – CAPACITANCE (pF) 0.5 T 1 1 C - FORWARD CURRENT (mA) I F 0 - FORWARD VOLTAGE DIFFERENCE (mV) 0.3 0.3 F 0 10 20 30 40 50 V 0.2 0.4 0.6 0.8 1.0 1.2 1.4 VR – REVERSE VOLTAGE (V) VF - FORWARD VOLTAGE (V) Figure 4. Total Capacitance vs. Reverse Figure 5. Typical Vf Match, Pairs and Quads. Voltage.
4