Datasheet AD8314 (Analog Devices) - 6

HerstellerAnalog Devices
Beschreibung100 MHz to 2.7 GHz, 45 dB RF Detector/Controller
Seiten / Seite20 / 6 — AD8314. Data Sheet. TYPICAL PERFORMANCE CHARACTERISTICS. 1.2. 0.1GHz. …
RevisionC
Dateiformat / GrößePDF / 528 Kb
DokumentenspracheEnglisch

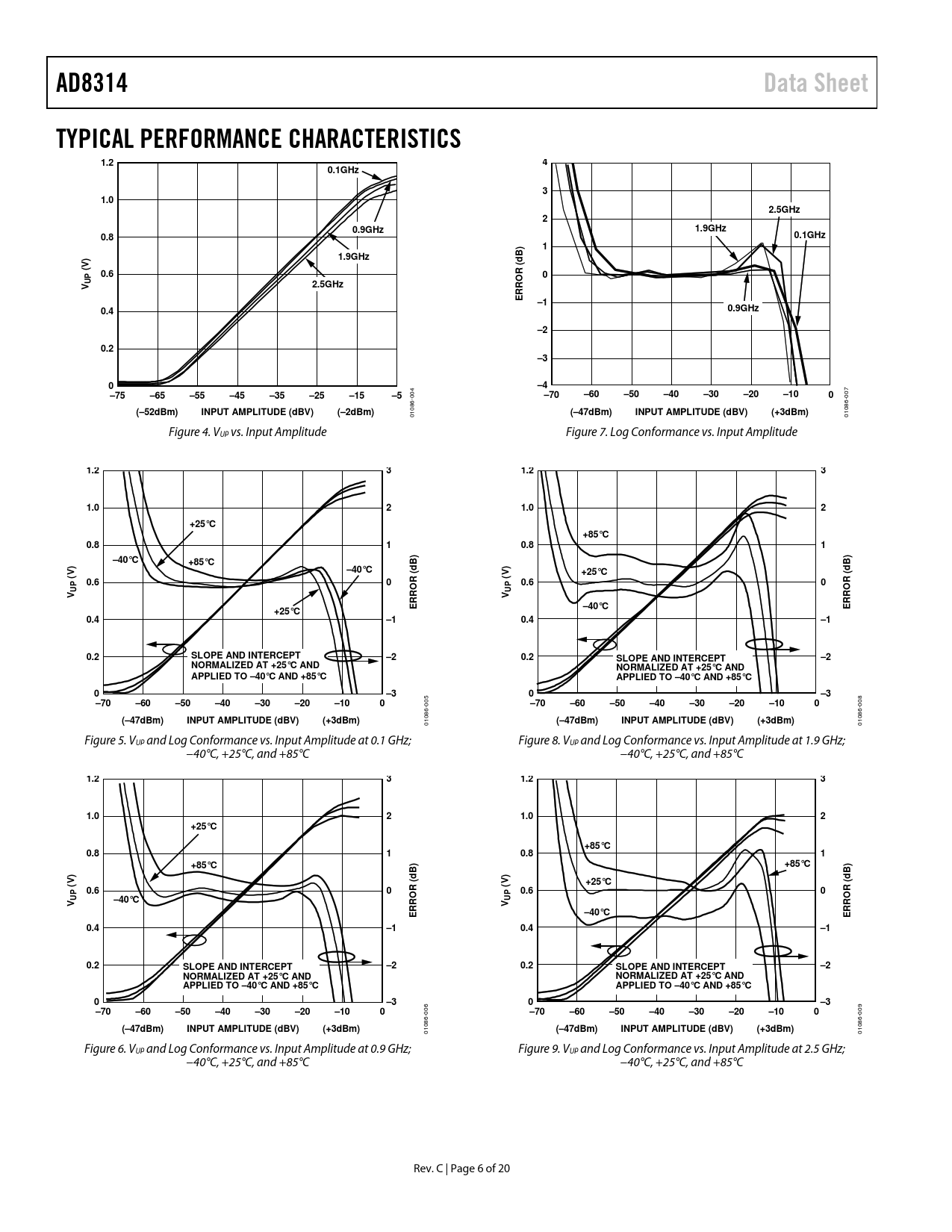
AD8314. Data Sheet. TYPICAL PERFORMANCE CHARACTERISTICS. 1.2. 0.1GHz. 1.0. 2.5GHz. 0.9GHz. 1.9GHz. 0.8. B) d. (V). 0.6. R (. UPV. RRO E. 0.4. 0.2. –75. –65

AD8314 Data Sheet TYPICAL PERFORMANCE CHARACTERISTICS 1.2 0.1GHz 1.0 2.5GHz 0.9GHz 1.9GHz 0.8 B) d (V) 0.6 R ( UPV RRO E 0.4 0.2 –75 –65

Modelllinie für dieses Datenblatt

Textversion des Dokuments

AD8314 Data Sheet TYPICAL PERFORMANCE CHARACTERISTICS 1.2 4 0.1GHz 3 1.0 2.5GHz 2 0.9GHz 1.9GHz 0.8 0.1GHz 1 1.9GHz B) d (V) 0.6 R ( 0 UPV 2.5GHz RRO E –1 0.4 0.9GHz –2 0.2 –3 0 –4 –75 –65 –55 –45 –35 –25 –15 –5
004
–70 –60 –50 –40 –30 –20 –10 0
007
(–52dBm) INPUT AMPLITUDE (dBV) (–2dBm) (–47dBm) INPUT AMPLITUDE (dBV) (+3dBm)
01086- 01086- Figure 4. VUP vs. Input Amplitude Figure 7. Log Conformance vs. Input Amplitude
1.2 3 1.2 3 1.0 2 1.0 2 +25°C +85°C 0.8 1 0.8 1 –40°C +85°C B) B) d –40°C d +25°C (V) 0.6 R ( 0 (V) 0.6 R ( 0 UP UP V V RRO RRO E –40°C E +25°C 0.4 –1 0.4 –1 0.2 SLOPE AND INTERCEPT –2 0.2 SLOPE AND INTERCEPT –2 NORMALIZED AT +25°C AND NORMALIZED AT +25°C AND APPLIED TO –40°C AND +85°C APPLIED TO –40°C AND +85°C 0 –3 0 –3 –70 –60 –50 –40 –30 –20 –10 0
005
–70 –60 –50 –40 –30 –20 –10 0
008
(–47dBm) INPUT AMPLITUDE (dBV) (+3dBm) (–47dBm) INPUT AMPLITUDE (dBV) (+3dBm)
01086- 01086- Figure 5. VUP and Log Conformance vs. Input Amplitude at 0.1 GHz; Figure 8. VUP and Log Conformance vs. Input Amplitude at 1.9 GHz; −40°C, +25°C, and +85°C −40°C, +25°C, and +85°C
1.2 3 1.2 3 1.0 2 1.0 2 +25°C +85°C 0.8 1 0.8 1 +85°C +85°C B) B) d d +25°C (V) 0.6 R ( 0 (V) 0.6 R ( 0 UP UP V –40°C V RRO RRO E –40°C E 0.4 –1 0.4 –1 0.2 –2 SLOPE AND INTERCEPT 0.2 SLOPE AND INTERCEPT –2 NORMALIZED AT +25°C AND NORMALIZED AT +25°C AND APPLIED TO –40°C AND +85°C APPLIED TO –40°C AND +85°C 0 –3 0 –3 –70 –60 –50 –40 –30 –20 –10 0
006
–70 –60 –50 –40 –30 –20 –10 0
009
(–47dBm) INPUT AMPLITUDE (dBV) (+3dBm) (–47dBm) INPUT AMPLITUDE (dBV) (+3dBm)
01086- 01086- Figure 6. VUP and Log Conformance vs. Input Amplitude at 0.9 GHz; Figure 9. VUP and Log Conformance vs. Input Amplitude at 2.5 GHz; −40°C, +25°C, and +85°C −40°C, +25°C, and +85°C Rev. C | Page 6 of 20 Document Outline FEATURES APPLICATIONS GENERAL DESCRIPTION FUNCTIONAL BLOCK DIAGRAM TABLE OF CONTENTS REVISION HISTORY SPECIFICATIONS ABSOLUTE MAXIMUM RATINGS ESD CAUTION PIN CONFIGURATIONS AND FUNCTION DESCRIPTIONS TYPICAL PERFORMANCE CHARACTERISTICS THEORY OF OPERATION INVERTED OUTPUT APPLICATIONS BASIC CONNECTIONS TRANSFER FUNCTION IN TERMS OF SLOPE AND INTERCEPT dBV VS. dBm FILTER CAPACITOR OPERATING IN CONTROLLER MODE POWER-ON AND ENABLE GLITCH INPUT COUPLING OPTIONS INCREASING THE LOGARITHMIC SLOPE IN MEASUREMENT MODE EFFECT OF WAVEFORM TYPE ON INTERCEPT MOBILE HANDSET POWER CONTROL EXAMPLES OPERATION AT 2.7 GHz USING THE LFCSP PACKAGE EVALUATION BOARD OUTLINE DIMENSIONS ORDERING GUIDE