Datasheet ADL5324 (Analog Devices) - 5
| Hersteller | Analog Devices |
| Beschreibung | 400 MHz TO 4000 MHz ½ Watt RF Driver Amplifier |
| Seiten / Seite | 20 / 5 — Data Sheet. ADL5324. TYPICAL SCATTERING PARAMETERS. Table 2. S11. S21. … |
| Revision | B |
| Dateiformat / Größe | PDF / 553 Kb |
| Dokumentensprache | Englisch |
Data Sheet. ADL5324. TYPICAL SCATTERING PARAMETERS. Table 2. S11. S21. S12. S22

Modelllinie für dieses Datenblatt
Textversion des Dokuments
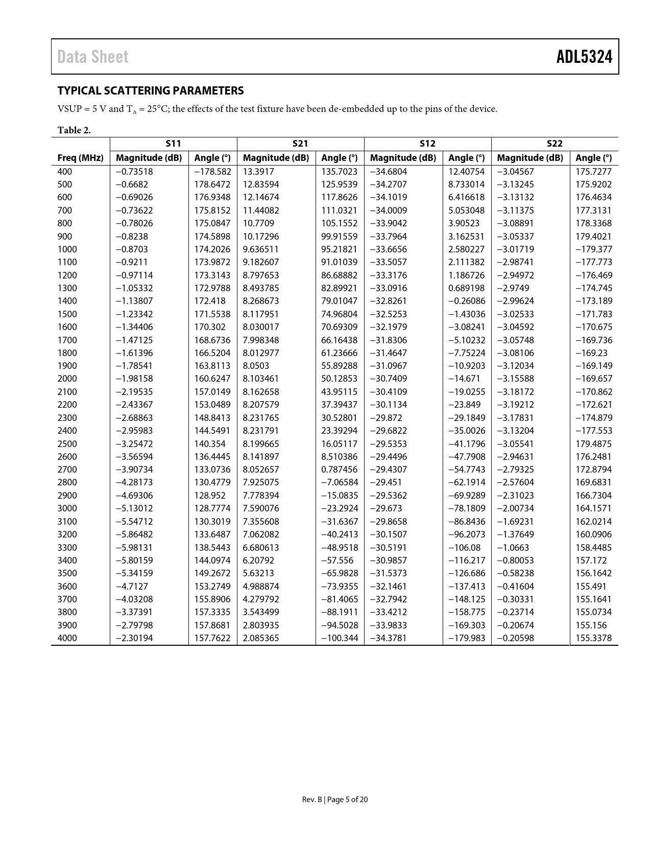
Data Sheet ADL5324 TYPICAL SCATTERING PARAMETERS
VSUP = 5 V and TA = 25°C; the effects of the test fixture have been de-embedded up to the pins of the device.
Table 2. S11 S21 S12 S22 Freq (MHz) Magnitude (dB) Angle (°) Magnitude (dB) Angle (°) Magnitude (dB) Angle (°) Magnitude (dB) Angle (°)
400 −0.73518 −178.582 13.3917 135.7023 −34.6804 12.40754 −3.04567 175.7277 500 −0.6682 178.6472 12.83594 125.9539 −34.2707 8.733014 −3.13245 175.9202 600 −0.69026 176.9348 12.14674 117.8626 −34.1019 6.416618 −3.13132 176.4634 700 −0.73622 175.8152 11.44082 111.0321 −34.0009 5.053048 −3.11375 177.3131 800 −0.78026 175.0847 10.7709 105.1552 −33.9042 3.90523 −3.08891 178.3368 900 −0.8238 174.5898 10.17296 99.91559 −33.7964 3.162531 −3.05337 179.4021 1000 −0.8703 174.2026 9.636511 95.21821 −33.6656 2.580227 −3.01719 −179.377 1100 −0.9211 173.9872 9.182607 91.01039 −33.5057 2.111382 −2.98741 −177.773 1200 −0.97114 173.3143 8.797653 86.68882 −33.3176 1.186726 −2.94972 −176.469 1300 −1.05332 172.9788 8.493785 82.89921 −33.0916 0.689198 −2.9749 −174.745 1400 −1.13807 172.418 8.268673 79.01047 −32.8261 −0.26086 −2.99624 −173.189 1500 −1.23342 171.5538 8.117951 74.96804 −32.5253 −1.43036 −3.02533 −171.783 1600 −1.34406 170.302 8.030017 70.69309 −32.1979 −3.08241 −3.04592 −170.675 1700 −1.47125 168.6736 7.998348 66.16438 −31.8306 −5.10232 −3.05748 −169.736 1800 −1.61396 166.5204 8.012977 61.23666 −31.4647 −7.75224 −3.08106 −169.23 1900 −1.78541 163.8113 8.0503 55.89288 −31.0967 −10.9203 −3.12034 −169.149 2000 −1.98158 160.6247 8.103461 50.12853 −30.7409 −14.671 −3.15588 −169.657 2100 −2.19535 157.0149 8.162658 43.95115 −30.4109 −19.0255 −3.18172 −170.862 2200 −2.43367 153.0489 8.207579 37.39437 −30.1134 −23.849 −3.19212 −172.621 2300 −2.68863 148.8413 8.231765 30.52801 −29.872 −29.1849 −3.17831 −174.879 2400 −2.95983 144.5491 8.231791 23.39294 −29.6822 −35.0026 −3.13204 −177.553 2500 −3.25472 140.354 8.199665 16.05117 −29.5353 −41.1796 −3.05541 179.4875 2600 −3.56594 136.4445 8.141897 8.510386 −29.4496 −47.7908 −2.94631 176.2481 2700 −3.90734 133.0736 8.052657 0.787456 −29.4307 −54.7743 −2.79325 172.8794 2800 −4.28173 130.4779 7.925075 −7.06584 −29.451 −62.1914 −2.57604 169.6831 2900 −4.69306 128.952 7.778394 −15.0835 −29.5362 −69.9289 −2.31023 166.7304 3000 −5.13012 128.7774 7.590076 −23.2924 −29.673 −78.1809 −2.00734 164.1571 3100 −5.54712 130.3019 7.355608 −31.6367 −29.8658 −86.8436 −1.69231 162.0214 3200 −5.86482 133.6487 7.062082 −40.2413 −30.1507 −96.2073 −1.37649 160.0906 3300 −5.98131 138.5443 6.680613 −48.9518 −30.5191 −106.08 −1.0663 158.4485 3400 −5.80159 144.0974 6.20792 −57.556 −30.9857 −116.217 −0.80053 157.172 3500 −5.34159 149.2672 5.63213 −65.9828 −31.5373 −126.686 −0.58238 156.1642 3600 −4.7127 153.2749 4.988874 −73.9355 −32.1461 −137.413 −0.41604 155.491 3700 −4.03208 155.8906 4.279792 −81.4065 −32.7942 −148.125 −0.30331 155.1641 3800 −3.37391 157.3335 3.543499 −88.1911 −33.4212 −158.775 −0.23714 155.0734 3900 −2.79798 157.8681 2.803935 −94.5028 −33.9833 −169.303 −0.20674 155.156 4000 −2.30194 157.7622 2.085365 −100.344 −34.3781 −179.983 −0.20598 155.3378 Rev. B | Page 5 of 20 Document Outline Features Applications General Description Functional Block Diagram Table of Contents Revision History Specifications Typical Scattering Parameters Absolute Maximum Ratings Thermal Resistance ESD Caution Pin Configuration and Function Descriptions Typical Performance Characteristics High Temperature Operation Applications Information Basic Layout Connections Soldering Information and Recommended PCB Land Pattern Matching Procedure W-CDMA ACPR Performance Evaluation Board Outline Dimensions Ordering Guide