Datasheet MAX20361 (Maxim) - 8
| Hersteller | Maxim |
| Beschreibung | Small, Single-/Multi-Cell Solar Harvester with MPPT and Harvest Counter |
| Seiten / Seite | 32 / 8 — MAX20361. Small,. Single-/Multi-Cell. Solar. Harvester. with. MPPT. and. … |
| Dateiformat / Größe | PDF / 1.5 Mb |
| Dokumentensprache | Englisch |
MAX20361. Small,. Single-/Multi-Cell. Solar. Harvester. with. MPPT. and. Harvest. Counter. www.maximintegrated.com. Maxim. Integrated. |. 8. Document

Modelllinie für dieses Datenblatt
Textversion des Dokuments
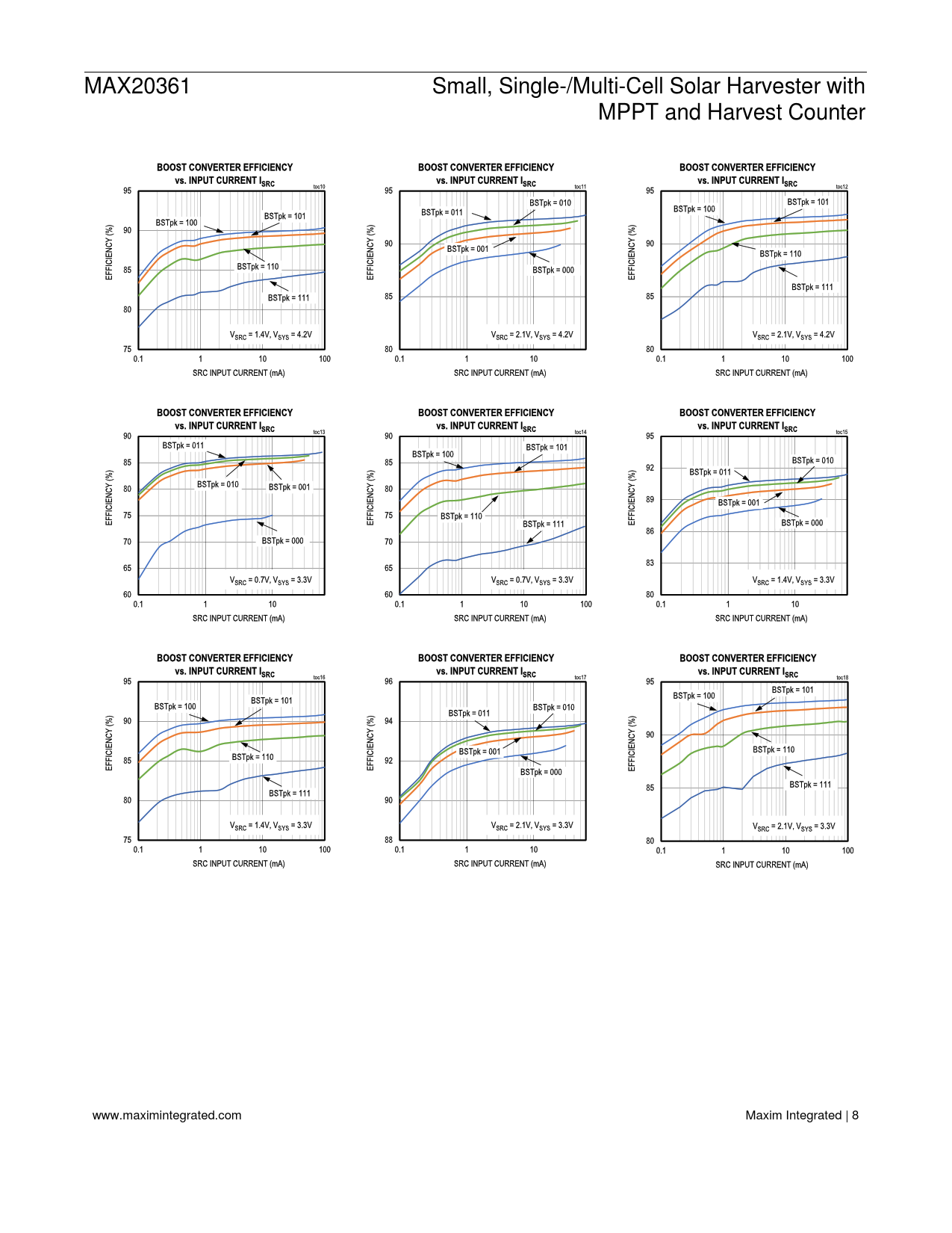
MAX20361 Small, Single-/Multi-Cell Solar Harvester with MPPT and Harvest Counter www.maximintegrated.com Maxim Integrated | 8 Document Outline General Description Applications Benefits and Features Simplified Block Diagram Absolute Maximum Ratings Package Information Electrical Characteristics Typical Operating Characteristics Bump Configuration Pin Descriptions Detailed Description Boost Converter Harvesting Meter Maximum Power Point Tracking (MPPT) Low-Light Sleep Mode WAKE Output Thermal Monitor Shutdown Cold-Startup Source Clamp I2C Interface Slave Address Bit Transfer Single-Byte Write Burst Write Single Byte Read Burst Read Acknowledge Bits Register Map Applications Information Inductor Selection Capacitor Selection SRC Capacitance SYS and VCC Capacitance nMOS Transistor Selection Typical Application Circuits Solar Application Circuit Ordering Information