Datasheet AD8024 (Analog Devices) - 5
| Hersteller | Analog Devices |
| Beschreibung | Quad 350 MHz 24 V Amplifier |
| Seiten / Seite | 12 / 5 — AD8024. 2.5. 10M. VS =. 7.5V. mV 2.0. S =. 100k. 10k. 1.5. 12V. … |
| Revision | C |
| Dateiformat / Größe | PDF / 172 Kb |
| Dokumentensprache | Englisch |
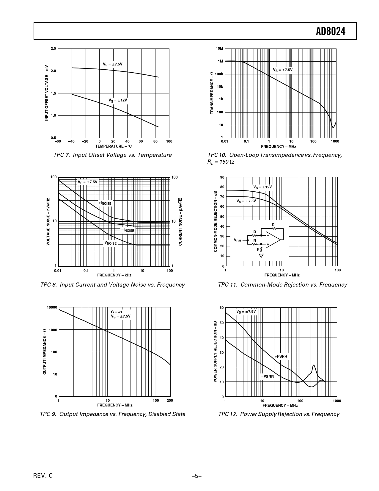
AD8024. 2.5. 10M. VS =. 7.5V. mV 2.0. S =. 100k. 10k. 1.5. 12V. TRANSIMPEDANCE. 100. 1.0. INPUT OFFSET VOLTAGE. 0.5. –60. –40. –20. 0.01. 0.1. 1000. TEMPERATURE –

Modelllinie für dieses Datenblatt
Textversion des Dokuments
AD8024 2.5 10M 1M VS = 7.5V mV 2.0 V – S = 7.5V 100k – 10k 1.5 V 1k S = 12V TRANSIMPEDANCE 100 1.0 INPUT OFFSET VOLTAGE 10 0.5 1 –60 –40 –20 0 20 40 60 80 100 0.01 0.1 1 10 100 1000 TEMPERATURE – C FREQUENCY – MHz
TPC 7. Input Offset Voltage vs. Temperature TPC 10. Open-Loop Transimpedance vs. Frequency, RL = 150 Ω
100 100 90 VS = 7.5V 80 VS = 12V dB – 70 Hz +I Hz V NOISE S = 7.5V 60 nV/ pA/ – – 50 10 10 40 R –INOISE R 30 VCM R VNOISE VOLTAGE NOISE CURRENT NOISE 20 COMMON-MODE REJECTION R 10 1 1 0 0.01 0.1 1 10 100 1 10 100 FREQUENCY – kHz FREQUENCY – MHz
TPC 8. Input Current and Voltage Noise vs. Frequency TPC 11. Common-Mode Rejection vs. Frequency
10000 60 G = +1 VS = 7.5V VS = 7.5V 50 dB – 1000 – 40 100 30 +PSRR 20 OUTPUT IMPEDANCE 10 –PSRR POWER SUPPLY REJECTION 10 0 0 1 10 100 200 1 10 100 1000 FREQUENCY – MHz FREQUENCY – MHz
TPC 9. Output Impedance vs. Frequency, Disabled State TPC 12. Power Supply Rejection vs. Frequency REV. C –5–