Datasheet ADA4311-1 (Analog Devices) - 8

HerstellerAnalog Devices
BeschreibungLow Cost, Dual, High Current Output Line Driver with Shutdown
Seiten / Seite16 / 8 — ADA4311-1. 100M. 1000. RL = 100Ω. PD1, PD0 = 0, 0. 10M. –45. 100. PHASE. …
Dateiformat / GrößePDF / 282 Kb
DokumentenspracheEnglisch

ADA4311-1. 100M. 1000. RL = 100Ω. PD1, PD0 = 0, 0. 10M. –45. 100. PHASE. –90. rees). DANCE. DANC. E 100k. –135. ( E. MAGNITUDE. 10k. –180. RANS T. UT O. 0.1. –225

ADA4311-1 100M 1000 RL = 100Ω PD1, PD0 = 0, 0 10M –45 100 PHASE –90 rees) DANCE DANC E 100k –135 ( E MAGNITUDE 10k –180 RANS T UT O 0.1 –225

Modelllinie für dieses Datenblatt

Textversion des Dokuments

ADA4311-1 100M 0 1000 RL = 100Ω PD1, PD0 = 0, 0 10M –45 100 ) ) PHASE (Ω ( 1M –90 E rees) 10 DANCE DANC eg E E 100k –135 D P P ( E M IM I AS 1 MAGNITUDE H UT 10k –180 P P RANS T UT O 0.1 1k –225 100 –270 0.01 100 1k 10k 100k 1M 10M 100M 1G
3 07
0.01 0.1 1 10 100 1000
0 -01 0-
FREQUENCY (Hz)
40 94
FREQUENCY (MHz)
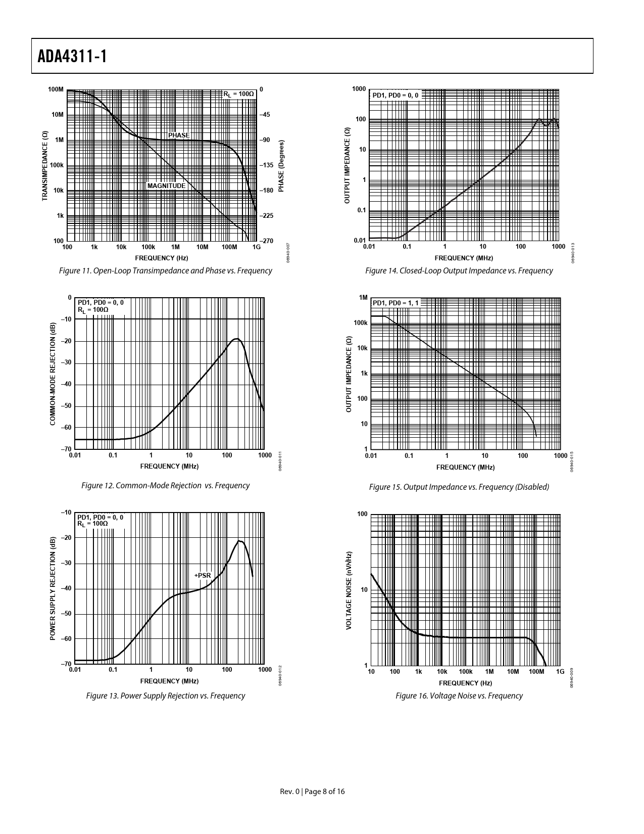
69 06 0 Figure 11. Open-Loop Transimpedance and Phase vs. Frequency Figure 14. Closed-Loop Output Impedance vs. Frequency
0 1M PD1, PD0 = 0, 0 PD1, PD0 = 1, 1 RL = 100Ω –10 100k B) (d N ) –20 IO ( E 10k CT JE –30 E DANC R E E P 1k D M O –40 I -M UT N P 100 O M –50 UT M O CO –60 10 –70 1 0.01 0.1 1 10 100 1000
1 15
0.01 0.1 1 10 100 1000
-01 0 40 0-
FREQUENCY (MHz)
69 94
FREQUENCY (MHz)
0 06 Figure 12. Common-Mode Rejection vs. Frequency Figure 15. Output Impedance vs. Frequency (Disabled)
–10 PD1, PD0 = 0, 0 100 RL = 100Ω –20 B) d N ( ) IO Hz –30 / CT V JE +PSR (n E RE –40 IS Y 10 L P NO P E U –50 AG T R S L E O W V O P –60 –70 1 0.01 0.1 1 10 100 1000
2 01 09
10 100 1k 10k 100k 1M 10M 100M 1G
0- -0
FREQUENCY (MHz)
94 40 06
FREQUENCY (Hz)
69 0 Figure 13. Power Supply Rejection vs. Frequency Figure 16. Voltage Noise vs. Frequency Rev. 0 | Page 8 of 16 Document Outline FEATURES APPLICATIONS PIN CONFIGURATION TYPICAL APPLICATION GENERAL DESCRIPTION TABLE OF CONTENTS REVISION HISTORY SPECIFICATIONS ABSOLUTE MAXIMUM RATINGS THERMAL RESISTANCE Maximum Power Dissipation ESD CAUTION PIN CONFIGURATION AND FUNCTION DESCRIPTIONS TYPICAL PERFORMANCE CHARACTERISTICS THEORY OF OPERATION APPLICATION INFORMATION FEEDBACK RESISTOR SELECTION POWER CONTROL MODES OF OPERATION EXPOSED THERMAL PAD CONNECTIONS POWERLINE APPLICATION BOARD LAYOUT POWER SUPPLY BYPASSING OUTLINE DIMENSIONS ORDERING GUIDE