Datasheet AD8232 (Analog Devices) - 8

HerstellerAnalog Devices
BeschreibungSingle-Lead, Heart Rate Monitor Front End
Seiten / Seite32 / 8 — AD8232. Data Sheet. PIN CONFIGURATION AND FUNCTION DESCRIPTIONS. FIN. …
RevisionD
Dateiformat / GrößePDF / 686 Kb
DokumentenspracheEnglisch

AD8232. Data Sheet. PIN CONFIGURATION AND FUNCTION DESCRIPTIONS. FIN. PSEN. IAO. HPDRIVE 1. 15 FR. +IN 2. 14 AC/DC. –IN 3. 13 SDN. TOP VIEW

AD8232 Data Sheet PIN CONFIGURATION AND FUNCTION DESCRIPTIONS FIN PSEN IAO HPDRIVE 1 15 FR +IN 2 14 AC/DC –IN 3 13 SDN TOP VIEW

Modelllinie für dieses Datenblatt

Textversion des Dokuments

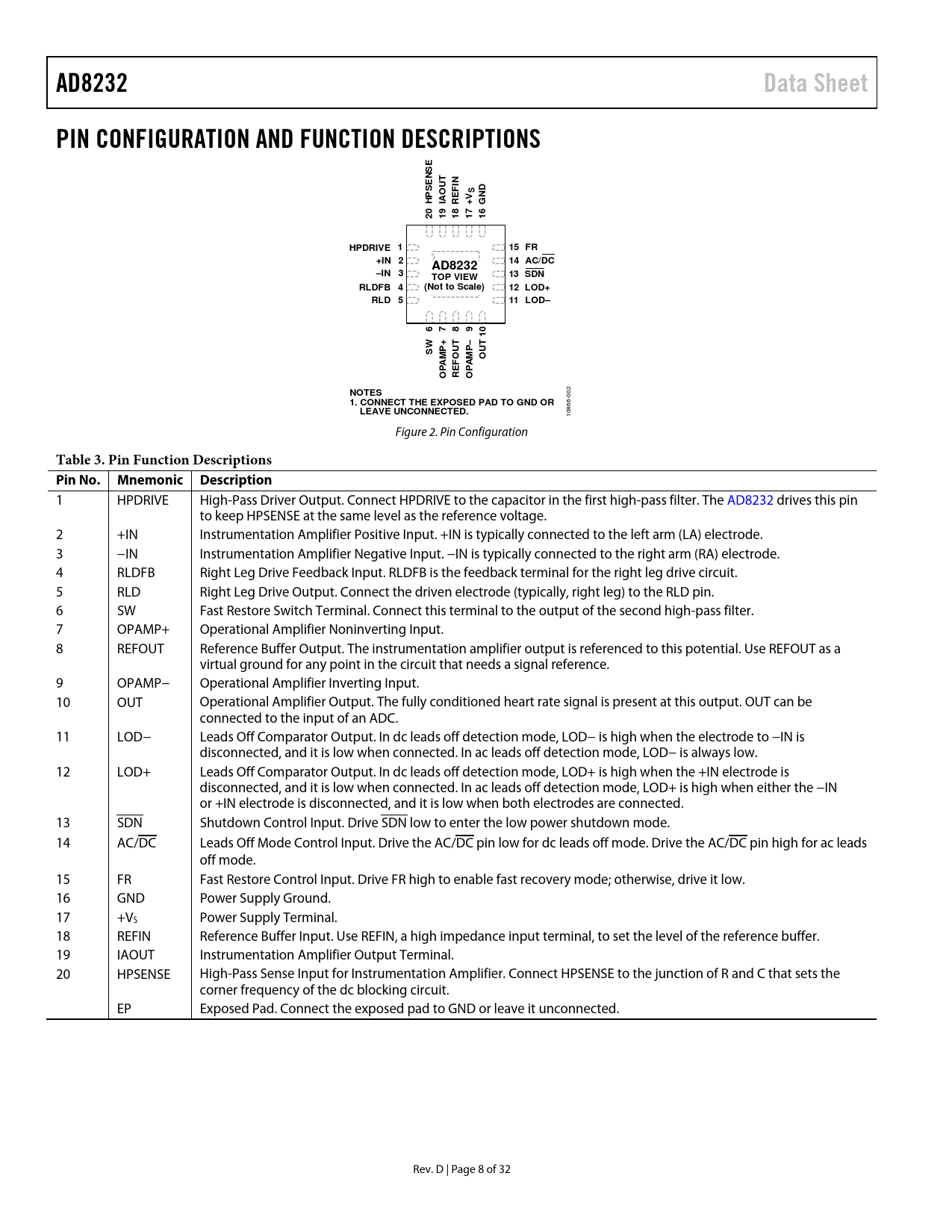
AD8232 Data Sheet PIN CONFIGURATION AND FUNCTION DESCRIPTIONS SE UT FIN PSEN S E ND H IAO R +V G 20 19 18 17 16 HPDRIVE 1 15 FR +IN 2 14 AC/DC AD8232 –IN 3 13 SDN TOP VIEW RLDFB 4 (Not to Scale) 12 LOD+ RLD 5 11 LOD– 6 7 8 9 10 SW UT UT MP+ O MP– O A F A P P O RE O NOTES
002
1. CONNECT THE EXPOSED PAD TO GND OR LEAVE UNCONNECTED.
10866- Figure 2. Pin Configuration
Table 3. Pin Function Descriptions Pin No. Mnemonic Description
1 HPDRIVE High-Pass Driver Output. Connect HPDRIVE to the capacitor in the first high-pass filter. The AD8232 drives this pin to keep HPSENSE at the same level as the reference voltage. 2 +IN Instrumentation Amplifier Positive Input. +IN is typically connected to the left arm (LA) electrode. 3 −IN Instrumentation Amplifier Negative Input. −IN is typically connected to the right arm (RA) electrode. 4 RLDFB Right Leg Drive Feedback Input. RLDFB is the feedback terminal for the right leg drive circuit. 5 RLD Right Leg Drive Output. Connect the driven electrode (typically, right leg) to the RLD pin. 6 SW Fast Restore Switch Terminal. Connect this terminal to the output of the second high-pass filter. 7 OPAMP+ Operational Amplifier Noninverting Input. 8 REFOUT Reference Buffer Output. The instrumentation amplifier output is referenced to this potential. Use REFOUT as a virtual ground for any point in the circuit that needs a signal reference. 9 OPAMP− Operational Amplifier Inverting Input. 10 OUT Operational Amplifier Output. The fully conditioned heart rate signal is present at this output. OUT can be connected to the input of an ADC. 11 LOD− Leads Off Comparator Output. In dc leads off detection mode, LOD− is high when the electrode to −IN is disconnected, and it is low when connected. In ac leads off detection mode, LOD− is always low. 12 LOD+ Leads Off Comparator Output. In dc leads off detection mode, LOD+ is high when the +IN electrode is disconnected, and it is low when connected. In ac leads off detection mode, LOD+ is high when either the −IN or +IN electrode is disconnected, and it is low when both electrodes are connected. 13 SDN Shutdown Control Input. Drive SDN low to enter the low power shutdown mode. 14 AC/DC Leads Off Mode Control Input. Drive the AC/DC pin low for dc leads off mode. Drive the AC/DC pin high for ac leads off mode. 15 FR Fast Restore Control Input. Drive FR high to enable fast recovery mode; otherwise, drive it low. 16 GND Power Supply Ground. 17 +VS Power Supply Terminal. 18 REFIN Reference Buffer Input. Use REFIN, a high impedance input terminal, to set the level of the reference buffer. 19 IAOUT Instrumentation Amplifier Output Terminal. 20 HPSENSE High-Pass Sense Input for Instrumentation Amplifier. Connect HPSENSE to the junction of R and C that sets the corner frequency of the dc blocking circuit. EP Exposed Pad. Connect the exposed pad to GND or leave it unconnected. Rev. D | Page 8 of 32 Document Outline Features Applications Functional Block Diagram General Description Revision History Specifications Absolute Maximum Ratings ESD Caution Pin Configuration and Function Descriptions Typical Performance Characteristics Instrumentation Amplifier Performance Curves Operational Amplifier Performance Curves Right Leg Drive (RLD) Amplifier Performance Curves Reference Buffer Performance Curves System Performance Curves Theory of Operation Architecture Overview Instrumentation Amplifier Operational Amplifier Right Leg Drive Amplifier Reference Buffer Fast Restore Circuit Leads Off Detection DC Leads Off Detection AC Leads Off Detection Standby Operation Input Protection Radio Frequency Interference (RFI) Power Supply Regulation and Bypassing Input Referred Offsets Layout Recommendations Applications Information Eliminating Electrode Offsets High-Pass Filtering Two-Pole High-Pass Filter Additional High-Pass Filtering Options Low-Pass Filtering and Gain Driving Analog-to-Digital Converters Driven Electrode Application Circuits Heart Rate Measurement Next to the Heart Exercise Application: Heart Rate Measured at the Hands Cardiac Monitor Configuration Portable Cardiac Monitor with Elimination of Motion Artifacts Packaging and Ordering Information Outline Dimensions Ordering Guide