Datasheet OP497 (Analog Devices) - 9
| Hersteller | Analog Devices |
| Beschreibung | Precision Picoampere Input Current Quad Operational Amplifier |
| Seiten / Seite | 16 / 9 — OP497. VS = ±15V TA = 25°C. AVCL = +1 VOUT = 100mV p-p. ) % ( T. O O SH. … |
| Revision | E |
| Dateiformat / Größe | PDF / 324 Kb |
| Dokumentensprache | Englisch |
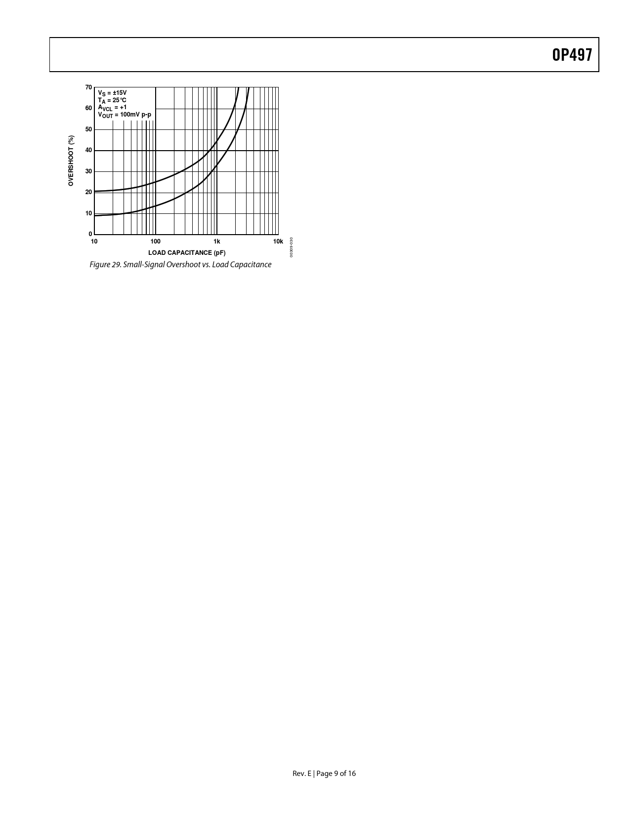
OP497. VS = ±15V TA = 25°C. AVCL = +1 VOUT = 100mV p-p. ) % ( T. O O SH. VER O. 100. 10k. LOAD CAPACITANCE (pF)

Modelllinie für dieses Datenblatt
Textversion des Dokuments
OP497 70 VS = ±15V TA = 25°C 60 AVCL = +1 VOUT = 100mV p-p 50 ) % ( T 40 O O SH 30 VER O 20 10 0
0
10 100 1k 10k
-03 09
LOAD CAPACITANCE (pF)
03 0 Figure 29. Small-Signal Overshoot vs. Load Capacitance Rev. E | Page 9 of 16 Document Outline FEATURES APPLICATIONS GENERAL DESCRIPTION PIN CONNECTIONS TABLE OF CONTENTS REVISION HISTORY SPECIFICATIONS ABSOLUTE MAXIMUM RATINGS THERMAL RESISTANCE ESD CAUTION TYPICAL PERFORMANCE CHARACTERISTICS APPLICATIONS INFORMATION AC PERFORMANCE GUARDING AND SHIELDING OPEN-LOOP GAIN LINEARITY APPLICATIONS CIRCUIT PRECISION ABSOLUTE VALUE AMPLIFIER PRECISION CURRENT PUMP PRECISION POSITIVE PEAK DETECTOR SIMPLE BRIDGE CONDITIONING AMPLIFIER NONLINEAR CIRCUITS OUTLINE DIMENSIONS ORDERING GUIDE