Datasheet AD824 (Analog Devices) - 7

HerstellerAnalog Devices
BeschreibungSingle Supply, Rail-to-Rail Low Power, FET-Input Op Amp
Seiten / Seite16 / 7 — Data Sheet. AD824. TYPICAL PERFORMANCE CHARACTERISTICS. VS = ±15V. VS = …
RevisionE
Dateiformat / GrößePDF / 348 Kb
DokumentenspracheEnglisch

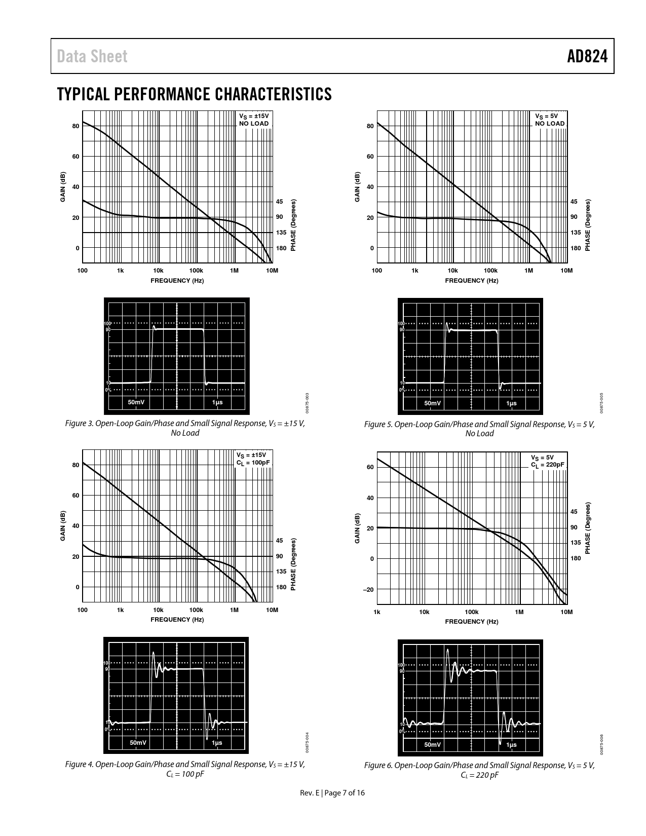
Data Sheet. AD824. TYPICAL PERFORMANCE CHARACTERISTICS. VS = ±15V. VS = 5V. NO LOAD. N (. rees). Deg. 135. HAS. 180. 100. 10k. 100k. 10M

Data Sheet AD824 TYPICAL PERFORMANCE CHARACTERISTICS VS = ±15V VS = 5V NO LOAD N ( rees) Deg 135 HAS 180 100 10k 100k 10M

Modelllinie für dieses Datenblatt

Textversion des Dokuments

Data Sheet AD824 TYPICAL PERFORMANCE CHARACTERISTICS VS = ±15V VS = 5V 80 NO LOAD 80 NO LOAD 60 60 B) B) d d 40 N ( 40 N ( AI AI G 45 G 45 rees) rees) 20 90 20 90 Deg Deg ( ( 135 E 135 E HAS HAS 0 180 P 0 180 P 100 1k 10k 100k 1M 10M 100 1k 10k 100k 1M 10M FREQUENCY (Hz) FREQUENCY (Hz) 100 100 90 90 10 10 0% 0%
003 005
50mV 1µs 50mV 1µs
00875- 00875- Figure 3. Open-Loop Gain/Phase and Small Signal Response, VS = ±15 V, Figure 5. Open-Loop Gain/Phase and Small Signal Response, VS = 5 V, No Load No Load
VS = ±15V VS = 5V 80 CL = 100pF 60 CL = 220pF 60 40 45 B) rees) d B) d 40 N ( 20 90 Deg N ( ( AI E G AI 45 G 135 rees) HAS P 20 90 0 180 Deg ( 135 E HAS 0 180 P –20 100 1k 10k 100k 1M 10M 1k 10k 100k 1M 10M FREQUENCY (Hz) FREQUENCY (Hz) 100 100 90 90 10 10 0% 0%
004
50mV 1µs
006
50mV 1µs
00875- 00875- Figure 4. Open-Loop Gain/Phase and Small Signal Response, VS = ±15 V, Figure 6. Open-Loop Gain/Phase and Small Signal Response, VS = 5 V, CL = 100 pF CL = 220 pF Rev. E | Page 7 of 16 Document Outline FEATURES APPLICATIONS PIN CONFIGURATION GENERAL DESCRIPTION TABLE OF CONTENTS REVISION HISTORY SPECIFICATIONS ELECTRICAL SPECIFICATIONS ABSOLUTE MAXIMUM RATINGS THERMAL RESISTANCE ESD CAUTION TYPICAL PERFORMANCE CHARACTERISTICS THEORY OF OPERATION INPUT CHARACTERISTICS OUTPUT CHARACTERISTICS APPLICATIONS INFORMATION SINGLE SUPPLY VOLTAGE-TO-FREQUENCY CONVERTER SINGLE SUPPLY PROGRAMMABLE GAIN INSTRUMENTATION AMPLIFIER 3 V, SINGLE SUPPLY STEREO HEADPHONE DRIVER LOW DROPOUT BIPOLAR BRIDGE DRIVER A 3.3 V/5 V PRECISION SAMPLE-AND-HOLD AMPLIFIER OUTLINE DIMENSIONS ORDERING GUIDE