Datasheet ADA4528-1, ADA4528-2 (Analog Devices) - 10

HerstellerAnalog Devices
BeschreibungPrecision, Ultralow Noise, RRIO, Zero-Drift Dual Op Amp
Seiten / Seite24 / 10 — ADA4528-1/ADA4528-2. Data Sheet. 400. VSY = 2.5V. VSY = 5V. 300. VCM = …
RevisionF
Dateiformat / GrößePDF / 701 Kb
DokumentenspracheEnglisch

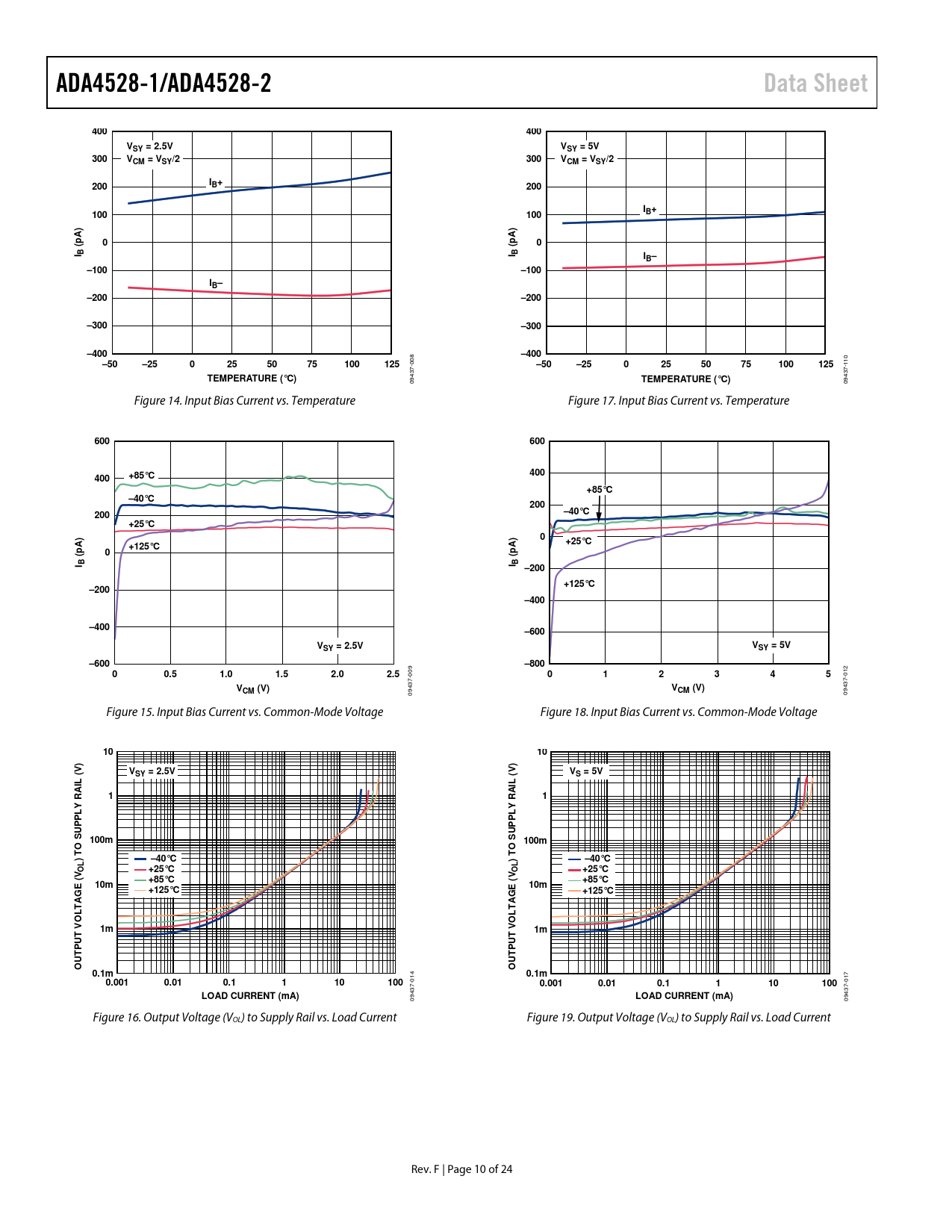
ADA4528-1/ADA4528-2. Data Sheet. 400. VSY = 2.5V. VSY = 5V. 300. VCM = VSY/2. 200. 100. I B. IB–. –100. –200. –300. –400. –50. –25. 125. TEMPERATURE (°C)

ADA4528-1/ADA4528-2 Data Sheet 400 VSY = 2.5V VSY = 5V 300 VCM = VSY/2 200 100 I B IB– –100 –200 –300 –400 –50 –25 125 TEMPERATURE (°C)

Modelllinie für dieses Datenblatt

Textversion des Dokuments

ADA4528-1/ADA4528-2 Data Sheet 400 400 VSY = 2.5V VSY = 5V 300 VCM = VSY/2 300 VCM = VSY/2 I 200 B+ 200 I 100 100 B+ A) A) p 0 p ( 0 ( I B I B IB– –100 –100 IB– –200 –200 –300 –300 –400 –400
10
–50 –25 0 25 50 75 100 125
008
–50 –25 0 25 50 75 100 125
1
TEMPERATURE (°C)
09437-
TEMPERATURE (°C)
09437- Figure 14. Input Bias Current vs. Temperature Figure 17. Input Bias Current vs. Temperature
600 600 400 400 +85°C +85°C –40°C 200 200 –40°C +25°C 0 A) A) +25°C p +125°C 0 p ( ( I B I B –200 +125°C –200 –400 –400 –600 VSY = 2.5V VSY = 5V –600 –800 0 0.5 1.0 1.5 2.0 2.5
009
0 1 2 3 4 5
012
VCM (V) VCM (V)
09437- 09437- Figure 15. Input Bias Current vs. Common-Mode Voltage Figure 18. Input Bias Current vs. Common-Mode Voltage
10 10 VSY = 2.5V (V) VS = 5V (V) IL IL A A 1 1 Y R Y R PPL PPL SU 100m SU 100m O O ) T –40°C ) T –40°C OL +25°C OL +25°C V V ( +85°C ( +85°C 10m 10m +125°C GE +125°C GE OLTA OLTA 1m 1m T V T V U U TP TP OU OU 0.1m 0.1m 0.001 0.01 0.1 1 10 100
014
0.001 0.01 0.1 1 10 100
017
LOAD CURRENT (mA)
09437-
LOAD CURRENT (mA)
09437- Figure 16. Output Voltage (VOL) to Supply Rail vs. Load Current Figure 19. Output Voltage (VOL) to Supply Rail vs. Load Current Rev. F | Page 10 of 24 Document Outline FEATURES APPLICATIONS GENERAL DESCRIPTION PIN CONNECTION DIAGRAMS TABLE OF CONTENTS REVISION HISTORY SPECIFICATIONS ELECTRICAL CHARACTERISTICS—2.5 V OPERATION ELECTRICAL CHARACTERISTICS—5 V OPERATION ABSOLUTE MAXIMUM RATINGS THERMAL RESISTANCE ESD CAUTION PIN CONFIGURATIONS AND FUNCTION DESCRIPTIONS TYPICAL PERFORMANCE CHARACTERISTICS APPLICATIONS INFORMATION INPUT PROTECTION RAIL-TO-RAIL INPUT AND OUTPUT NOISE CONSIDERATIONS 1/f Noise Source Resistance Voltage Noise Density with Different Gain Configurations Residual Voltage Ripple COMPARATOR OPERATION PRINTED CIRCUIT BOARD LAYOUT OUTLINE DIMENSIONS ORDERING GUIDE