Datasheet VCNL36826S (Vishay) - 6

HerstellerVishay
BeschreibungProximity Sensor With Interrupt, VCSEL, and I²C Interface
Seiten / Seite16 / 6 — VCNL36826S. TYPICAL PERFORMANCE CHARACTERISTICS
Dateiformat / GrößePDF / 196 Kb
DokumentenspracheEnglisch

VCNL36826S. TYPICAL PERFORMANCE CHARACTERISTICS

VCNL36826S TYPICAL PERFORMANCE CHARACTERISTICS

Modelllinie für dieses Datenblatt

Textversion des Dokuments

VCNL36826S
www.vishay.com Vishay Semiconductors
TYPICAL PERFORMANCE CHARACTERISTICS
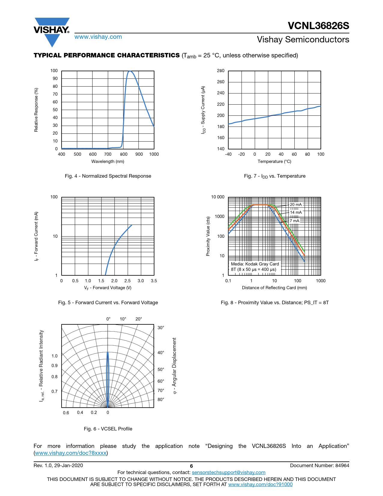
(Tamb = 25 °C, unless otherwise specified) Axis Title Axis Title 100 10000 280 10000 90 260 80 70 240 e (%) 1000 s 1000 60 220 pon ine ine s ine ine 50 ine t l t l t l s t l s s 1 s 1 200 1 40 2nd line 1 2nd l upply Current (μA) 100 S 100 30 - 180 Relative Re 20 I DD 160 10 0 10 140 10 400 500 600 700 800 900 1000 -40 -20 0 20 40 60 80 100 Wavelength (nm) Temperature (°C) 2nd line 2nd line Fig. 4 - Normalized Spectral Response Fig. 7 - IDD vs. Temperature Axis Title Axis Title 100 10000 10 000 10000 20 mA 14 mA ) 1000 s 1000 7 mA 1000 ine ine ine 10 t l 100 t l t l s s s 1 1 2nd line 1 2nd line upply Current (μA) 100 S 100 - - Forward Current (mA) Proximity Value (ct 10 I F I DD Media: Kodak Gray Card 8T (8 x 50 µs = 400 µs) 1 10 1 10 0 0.5 1.0 1.5 2.0 2.5 3.0 3.5 0.1 1 10 100 1000 VF - Forward Voltage (V) Distance of Reflecting Card (mm) 2nd line 2nd line Fig. 5 - Forward Current vs. Forward Voltage Fig. 8 - Proximity Value vs. Distance; PS_IT = 8T Axis Tit 0° le 10° 20° 10000 30° ity s 1000 40° 1.0 ne ine 0.9 50° 2nd l 2nd li 0.8 100 60° - Relative Radiant Inten 70° 0.7 ϕ - Angular Displacement I e, rel. 80° 10 0.6 0.4 0.2 0 1st line Fig. 6 - VCSEL Profile For more information please study the application note “Designing the VCNL36826S Into an Application” (www.vishay.com/doc?8xxxx) Rev. 1.0, 29-Jan-2020
6
Document Number: 84964 For technical questions, contact: sensorstechsupport@vishay.com THIS DOCUMENT IS SUBJECT TO CHANGE WITHOUT NOTICE. THE PRODUCTS DESCRIBED HEREIN AND THIS DOCUMENT ARE SUBJECT TO SPECIFIC DISCLAIMERS, SET FORTH AT www.vishay.com/doc?91000