Datasheet ADIS16365 (Analog Devices) - 9

HerstellerAnalog Devices
BeschreibungSix Degrees of Freedom Inertial Sensor
Seiten / Seite21 / 9 — Data Sheet. ADIS16365. TYPICAL PERFORMANCE CHARACTERISTICS. 0.1. 0.01. …
RevisionF
Dateiformat / GrößePDF / 752 Kb
DokumentenspracheEnglisch

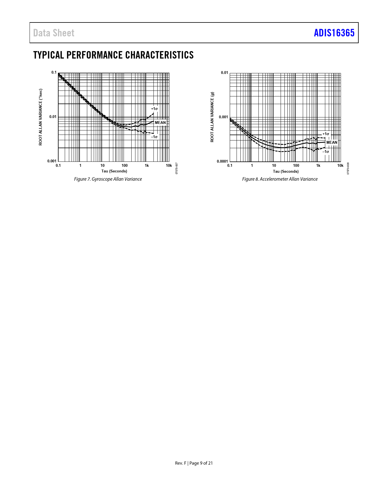
Data Sheet. ADIS16365. TYPICAL PERFORMANCE CHARACTERISTICS. 0.1. 0.01. sec). (°/. E C. NCE. +1σ. IAN. R A. 0.001. MEAN. AN L. LLA. –1σ. 0.0001. 100. 10k

Data Sheet ADIS16365 TYPICAL PERFORMANCE CHARACTERISTICS 0.1 0.01 sec) (°/ E C NCE +1σ IAN R A 0.001 MEAN AN L LLA –1σ 0.0001 100 10k

Modelllinie für dieses Datenblatt

Textversion des Dokuments

Data Sheet ADIS16365 TYPICAL PERFORMANCE CHARACTERISTICS 0.1 0.01 ) sec) (g (°/ E C NCE +1σ IAN IA R A AR 0.01 V V 0.001 N MEAN AN L LLA L A A T T O +1σ O –1σ O RO R MEAN –1σ 0.001 0.0001
7
0.1 1 10 100 1k 10k
-00
0.1 1 10 100 1k 10k
008 0
Tau (Seconds)
57
Tau (Seconds)
70- 07 75 0 Figure 7. Gyroscope Allan Variance Figure 8. Accelerometer Allan Variance Rev. F | Page 9 of 21 Document Outline FEATURES APPLICATIONS FUNCTIONAL BLOCK DIAGRAM GENERAL DESCRIPTION TABLE OF CONTENTS REVISION HISTORY SPECIFICATIONS TIMING SPECIFICATIONS TIMING DIAGRAMS ABSOLUTE MAXIMUM RATINGS ESD CAUTION PIN CONFIGURATION AND FUNCTION DESCRIPTIONS TYPICAL PERFORMANCE CHARACTERISTICS THEORY OF OPERATION BASIC OPERATION READING SENSOR DATA DEVICE CONFIGURATION MEMORY MAP BURST READ DATA COLLECTION OUTPUT DATA REGISTERS CALIBRATION Manual Bias Calibration Gyroscope Automatic Bias Null Calibration Gyroscope Precision Automatic Bias Null Calibration Restoring Factory Calibration Linear Acceleration Bias Compensation (Gyroscope) OPERATIONAL CONTROL Global Commands Internal Sample Rate Power Management Sensor Bandwidth Digital Filtering Dynamic Range INPUT/OUTPUT FUNCTIONS General-Purpose I/O Input Clock Configuration Data Ready I/O Indicator Auxiliary DAC DIAGNOSTICS Self-Test Memory Test Status Alarm Registers PRODUCT IDENTIFICATION APPLICATIONS INFORMATION INSTALLATION AND HANDLING GYROSCOPE BIAS OPTIMIZATION INPUT ADC CHANNEL PC-BASED EVALUATION TOOLS X-RAY SENSITIVITY OUTLINE DIMENSIONS ORDERING GUIDE