Datasheet 2N3906 (ON Semiconductor) - 4
| Hersteller | ON Semiconductor |
| Beschreibung | Small Signal PNP Bipolar Transistor, TO-92 |
| Seiten / Seite | 7 / 4 — 2N3906. TYPICAL TRANSIENT CHARACTERISTICS. Figure 3. Capacitance. Figure … |
| Revision | 4 |
| Dateiformat / Größe | PDF / 178 Kb |
| Dokumentensprache | Englisch |
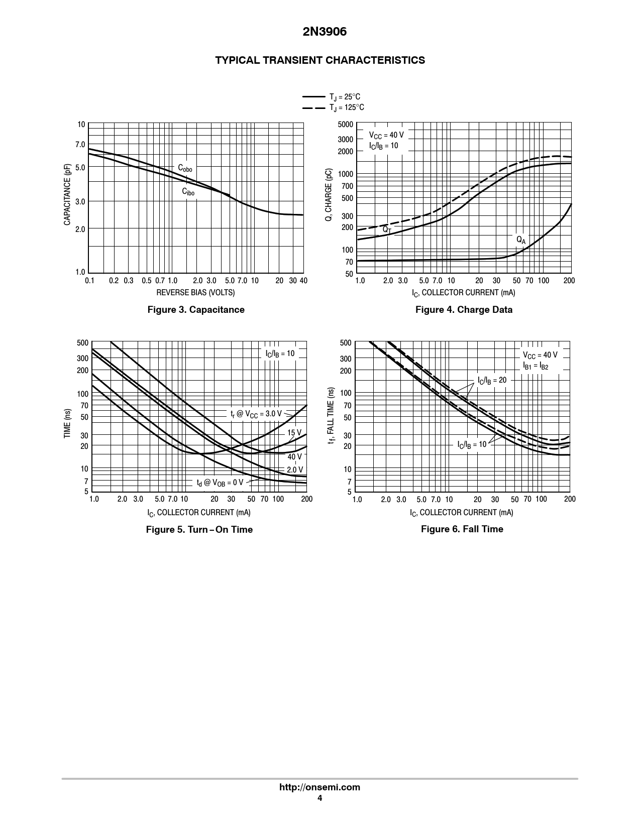
2N3906. TYPICAL TRANSIENT CHARACTERISTICS. Figure 3. Capacitance. Figure 4. Charge Data. Figure 5. Turn−On Time

Modelllinie für dieses Datenblatt
Textversion des Dokuments
2N3906 TYPICAL TRANSIENT CHARACTERISTICS
TJ = 25°C TJ = 125°C 10 5000 VCC = 40 V 3000 7.0 IC/IB = 10 2000 5.0 Cobo 1000 700 ANCE (pF) Cibo 3.0 500 ACIT Q, CHARGE (pC) 300 CAP 2.0 200 QT QA 100 70 1.0 50 0.1 0.2 0.3 0.5 0.7 1.0 2.0 3.0 5.0 7.0 10 20 30 40 1.0 2.0 3.0 5.0 7.0 10 20 30 50 70 100 200 REVERSE BIAS (VOLTS) IC, COLLECTOR CURRENT (mA)
Figure 3. Capacitance Figure 4. Charge Data
500 500 IC/IB = 10 V 300 300 CC = 40 V I 200 200 B1 = IB2 IC/IB = 20 100 100 70 70 50 tr @ VCC = 3.0 V TIME (ns) 50 ALL TIME (ns) 30 15 V 30 t , F f 20 20 IC/IB = 10 40 V 10 2.0 V 10 7 t 7 d @ VOB = 0 V 5 5 1.0 2.0 3.0 5.0 7.0 10 20 30 50 70 100 200 1.0 2.0 3.0 5.0 7.0 10 20 30 50 70 100 200 IC, COLLECTOR CURRENT (mA) IC, COLLECTOR CURRENT (mA)
Figure 5. Turn−On Time Figure 6. Fall Time http://onsemi.com 4