Datasheet OP262-EP (Analog Devices) - 8

HerstellerAnalog Devices
Beschreibung15 MHz, Rail-to-Rail, Dual Operational Amplifier
Seiten / Seite12 / 8 — 5.12. 100. VS = 5V. 5.06. ( E. OUT = 250µA. 5.00. LT O. VS = 10V. H V. W …
Dateiformat / GrößePDF / 239 Kb
DokumentenspracheEnglisch

5.12. 100. VS = 5V. 5.06. ( E. OUT = 250µA. 5.00. LT O. VS = 10V. H V. W O. 4.94. S = 3V. T L. OUT = 5mA. 4.88. 4.82. –75. –50. –25. 125. 150. TEMPERATURE (°C)

5.12 100 VS = 5V 5.06 ( E OUT = 250µA 5.00 LT O VS = 10V H V W O 4.94 S = 3V T L OUT = 5mA 4.88 4.82 –75 –50 –25 125 150 TEMPERATURE (°C)

Modelllinie für dieses Datenblatt

Textversion des Dokuments

OP262-EP
5.12 100 VS = 5V ) 5.06 ) 80 V V ( m E ( E AG I G T OUT = 250µA A L 5.00 60 O LT O VS = 10V H V V G W O HI 4.94 40 V T S = 3V U T L P I U T OUT = 5mA U TP O U 4.88 O 20 4.82
3
0
6
–75 –50 –25 0 25 50 75 100 125 150
01 01 6-
0 1 2 3 4 5 6 7
6-
TEMPERATURE (°C)
25
LOAD CURRENT (mA)
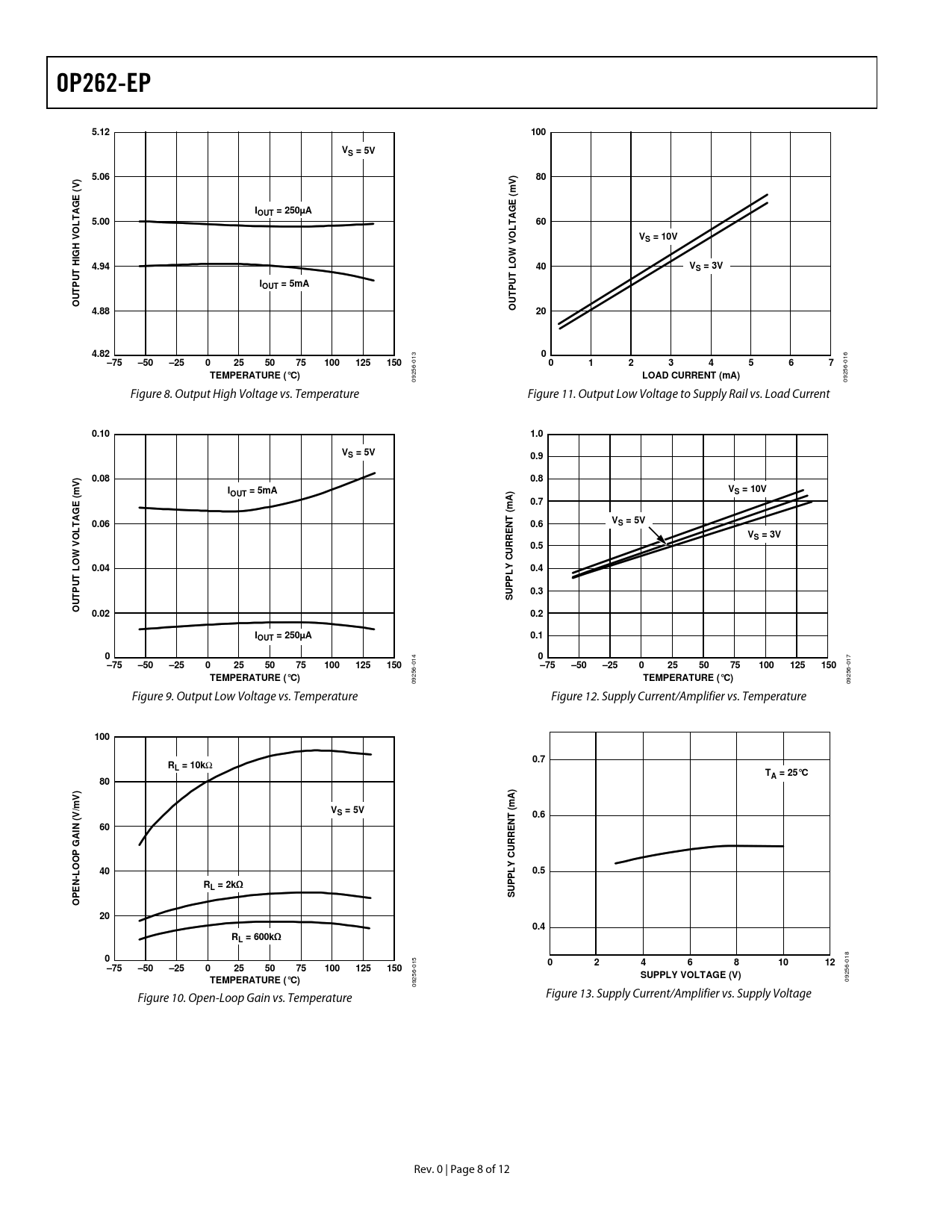
25 09 09 Figure 8. Output High Voltage vs. Temperature Figure 11. Output Low Voltage to Supply Rail vs. Load Current
0.10 1.0 VS = 5V 0.9 ) 0.08 0.8 V m I VS = 10V ( OUT = 5mA A) E 0.7 m G ( A 0.06 V NT 0.6 S = 5V LT O RE VS = 3V V 0.5 W O CUR 0.04 Y L 0.4 T L P U UP TP 0.3 S U O 0.02 0.2 IOUT = 250µA 0.1 0
4
0
7
–75 –50 –25 0 25 50 75 100 125 150
01 01 6-
–75 –50 –25 0 25 50 75 100 125 150
6-
TEMPERATURE (°C)
25
TEMPERATURE (°C)
25 09 09 Figure 9. Output Low Voltage vs. Temperature Figure 12. Supply Current/Amplifier vs. Temperature
100 0.7 RL = 10k
Ω
TA = 25°C 80 ) V A) /m m V ( V S = 5V 0.6 ( NT IN 60 RE GA CUR OOP Y 40 L 0.5 -L P N E RL = 2kΩ UP S OP 20 0.4 RL = 600kΩ
8
0
15
0 2 4 6 8 10 12
01
–75 –50 –25 0 25 50 75 100 125 150
0 6- 6-
SUPPLY VOLTAGE (V)
25
TEMPERATURE (°C)
25 09 09 Figure 10. Open-Loop Gain vs. Temperature Figure 13. Supply Current/Amplifier vs. Supply Voltage Rev. 0 | Page 8 of 12 Document Outline FEATURES APPLICATIONS PIN CONFIGURATION GENERAL DESCRIPTION TABLE OF CONTENTS REVISION HISTORY SPECIFICATIONS ELECTRICAL CHARACTERISTICS ABSOLUTE MAXIMUM RATINGS ESD CAUTION TYPICAL PERFORMANCE CHARACTERISTICS OUTLINE DIMENSIONS ORDERING GUIDE