Datasheet ADXRS623 (Analog Devices) - 7
| Hersteller | Analog Devices |
| Beschreibung | ±150°/sec Yaw Rate Gyroscope |
| Seiten / Seite | 13 / 7 — ADXRS623. TYPICAL PERFORMANCE CHARACTERISTICS. TION. T OF P. 2.0. 2.1. … |
| Revision | A |
| Dateiformat / Größe | PDF / 355 Kb |
| Dokumentensprache | Englisch |
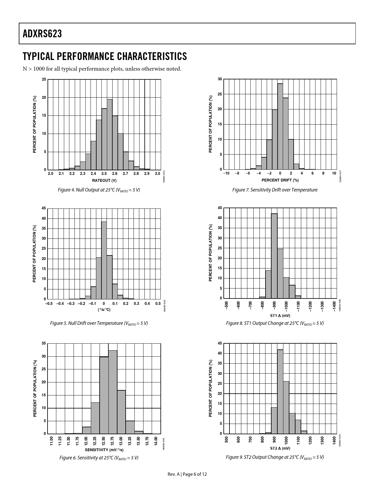
ADXRS623. TYPICAL PERFORMANCE CHARACTERISTICS. TION. T OF P. 2.0. 2.1. 2.2. 2.3. 2.4. 2.5. 2.6. 2.7. 2.8. 2.9. 3.0. −10. RATEOUT (V). PERCENT DRIFT (%)

Modelllinie für dieses Datenblatt
Textversion des Dokuments
ADXRS623 TYPICAL PERFORMANCE CHARACTERISTICS
N > 1000 for al typical performance plots, unless otherwise noted.
25 30 ) ) 25 % 20 % ( ( TION TION 20 LA 15 LA U U OP OP 15 10 T OF P T OF P N N 10 E E C C R R E E P 5 P 5 0 0 2.0 2.1 2.2 2.3 2.4 2.5 2.6 2.7 2.8 2.9 3.0
004
−10 −8 −6 −4 −2 0 2 4 6 8 10
007
RATEOUT (V) PERCENT DRIFT (%)
08890- 08890- Figure 4. Null Output at 25°C (VRATIO = 5 V) Figure 7. Sensitivity Drift over Temperature
45 45 40 40 ) ) % 35 % 35 ( ( 30 30 TION TION LA LA U U 25 25 OP OP 20 20 T OF P T OF P N 15 N 15 E E C C R R E 10 E 10 P P 5 5 0 0 –0.5 –0.4 –0.3 –0.2 –0.1 0 0.1 0.2 0.3 0.4 0.5
005 008
(°/s/°C) –500 –600 –700 –800 –900
08890-
–1000 –1100 –1200 –1300 –1400
08890-
ST1 Δ (mV)
Figure 5. Null Drift over Temperature (VRATIO = 5 V) Figure 8. ST1 Output Change at 25°C (VRATIO = 5 V)
35 45 40 30 ) ) % % 35 ( ( 25 TION TION 30 LA LA U 20 U 25 OP OP 15 20 T OF P T OF P N N 15 E E C 10 C R R E E 10 P P 5 5 0 0 00 25 50 75 00 25 50 75 00 25 50 75 00
009
1. 1.
006
500 600 700 800 900 1 1 11. 11. 12. 12. 12. 12. 13. 13. 13. 13. 14. 1000 1100 1200 1300 1400
08890-
SENSITIVITY (mV/°/s)
08890-
ST2 Δ (mV)
Figure 6. Sensitivity at 25°C (V Figure 9. ST2 Output Change at 25°C (V RATIO = 5 V) RATIO = 5 V) Rev. A | Page 6 of 12 Document Outline Features Applications General Description Functional Block Diagram Revision History Specifications Absolute Maximum Ratings Rate-Sensitive Axis ESD Caution Pin Configuration and Function Descriptions Typical Performance Characteristics Theory of Operation Setting Bandwidth Temperature Output and Calibration Calibrated Performance ADXRS623 and Supply Ratiometricity Null Adjustment Self-Test Function Continuous Self-Test Outline Dimensions Ordering Guide Automotive Products