Datasheet ADXRS290 (Analog Devices) - 10

HerstellerAnalog Devices
BeschreibungUltralow noise, dual-axis MEMS Gyroscope for Stabilization Applications
Seiten / Seite20 / 10 — Data Sheet. ADXRS290. % (. TION LA. T OF P N E. C R E P. 6.5. 6.6. 6.7. …
RevisionA
Dateiformat / GrößePDF / 578 Kb
DokumentenspracheEnglisch

Data Sheet. ADXRS290. % (. TION LA. T OF P N E. C R E P. 6.5. 6.6. 6.7. 6.8. 6.9. 7.0. 7.1. 7.2. 7.3. 7.4. 7.5. MEASUREMENT MODE CURRENT (mA)

Data Sheet ADXRS290 % ( TION LA T OF P N E C R E P 6.5 6.6 6.7 6.8 6.9 7.0 7.1 7.2 7.3 7.4 7.5 MEASUREMENT MODE CURRENT (mA)

Modelllinie für dieses Datenblatt

Textversion des Dokuments

Data Sheet ADXRS290 50 45 ) 40 % ( 35 TION LA 30 U OP 25 20 T OF P N E 15 C R E P 10 5 0
024
6.5 6.6 6.7 6.8 6.9 7.0 7.1 7.2 7.3 7.4 7.5 MEASUREMENT MODE CURRENT (mA)
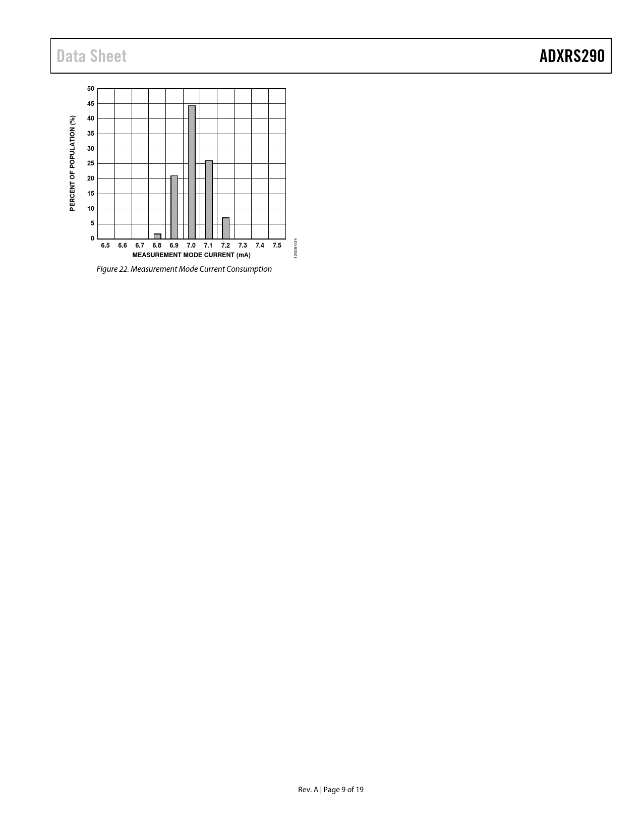
12636- Figure 22. Measurement Mode Current Consumption Rev. A | Page 9 of 19 Document Outline FEATURES APPLICATIONS GENERAL DESCRIPTION FUNCTIONAL BLOCK DIAGRAM TABLE OF CONTENTS REVISION HISTORY SPECIFICATIONS ABSOLUTE MAXIMUM RATINGS RATE SENSITIVE AXES PACKAGE INFORMATION ESD CAUTION PIN CONFIGURATION AND FUNCTION DESCRIPTIONS TYPICAL PERFORMANCE CHARACTERISTICS THEORY OF OPERATION APPLICATIONS INFORMATION APPLICATION CIRCUIT POWER SUPPLY DECOUPLING POWER SEQUENCING SETTING BANDWIDTH Offset Preservation in the High-Pass Filter ANALOG EVALUATION MODE MECHANICAL CONSIDERATIONS FOR MOUNTING SERIAL COMMUNICATIONS REGISTER MAP REGISTER DESCRIPTIONS ANALOG DEVICES IDENTIFIER MEMS IDENTIFIER DEVICE IDENTIFIER SILICON REVISION NUMBER SERIAL NUMBER (SNx) RATE OUTPUT DATA Register 0x08 to Register 0x0B: DATAX0, DATAX1, DATAY0, and DATAY1 (Read Only) TEMPERATURE DATA Register 0x0C to Register 0x0D: TEMP0 and TEMP1 (Read Only) POWER CONTROL TSM Bit Measurement Bit BAND-PASS FILTER LPF Bits HPF Bits DATA READY Sync Bits RECOMMENDED SOLDERING PROFILE PCB FOOTPRINT PATTERN OUTLINE DIMENSIONS ORDERING GUIDE