Datasheet ADXL206 (Analog Devices) - 7

HerstellerAnalog Devices
BeschreibungPrecision, ±5 g, Dual-Axis, High Temperature iMEMS Accelerometer
Seiten / Seite13 / 7 — ADXL206. Data Sheet. TYPICAL PERFORMANCE CHARACTERISTICS. TION. T OF P. …
RevisionB
Dateiformat / GrößePDF / 453 Kb
DokumentenspracheEnglisch

ADXL206. Data Sheet. TYPICAL PERFORMANCE CHARACTERISTICS. TION. T OF P. VOLTAGE (V). –1. –0. TEMPERATURE COEFFICIENT (mg. /°C). 287. 297. 307

ADXL206 Data Sheet TYPICAL PERFORMANCE CHARACTERISTICS TION T OF P VOLTAGE (V) –1 –0 TEMPERATURE COEFFICIENT (mg /°C) 287 297 307

Modelllinie für dieses Datenblatt

Textversion des Dokuments

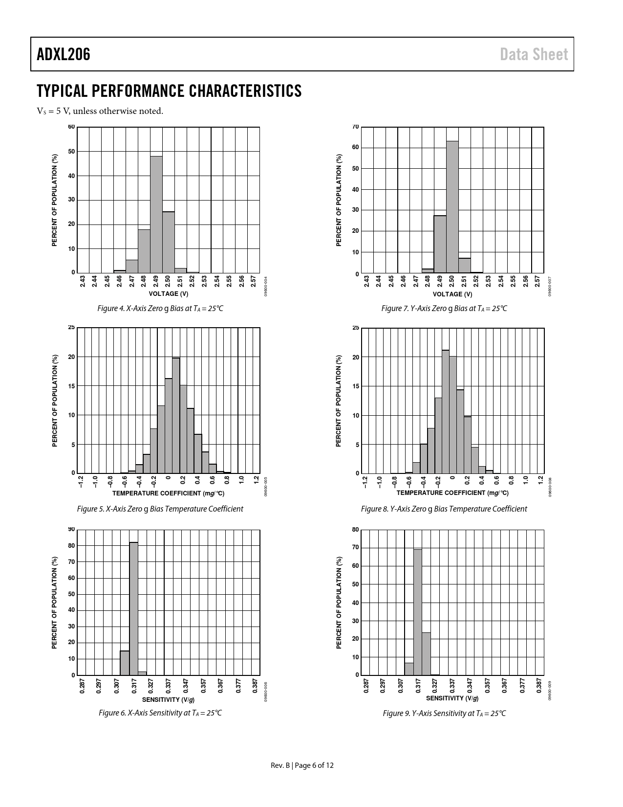
ADXL206 Data Sheet TYPICAL PERFORMANCE CHARACTERISTICS
VS = 5 V, unless otherwise noted.
60 70 60 50 ) ) % % ( ( 50 40 TION TION LA LA U U 40 OP 30 OP 30 T OF P T OF P N 20 N E E C 20 C R R E E P P 10 10 0 0 43 44 45 46 47 48 49 50 51 52 53 54 55 56 57
004
43 44 45 46 47 48 49 50 51 52 53 54 55 56 57
007
2. 2. 2. 2. 2. 2. 2. 2. 2. 2. 2. 2. 2. 2. 2. 2. 2. 2. 2. 2. 2. 2. 2. 2. 2. 2. 2. 2. 2. 2. VOLTAGE (V)
09600-
VOLTAGE (V)
09600- Figure 4. X-Axis Zero g Bias at TA = 25°C Figure 7. Y-Axis Zero g Bias at TA = 25°C
25 25 ) 20 ) % 20 % ( ( TION TION LA 15 LA 15 U U OP OP 10 10 T OF P T OF P N N E E C C R R E E P 5 P 5 0 0 2 0 8 6 4 2 0 2 4 6 8 0 2 2 0 8 6 4 2 0 2 4 6 8 0 2 0. 0. 0. 0. 1. 1.
005
0. 0. 0. 0. 1. 1.
008
–1. –1. –0. –0. –0. –0. –1. –1. –0. –0. –0. –0. TEMPERATURE COEFFICIENT (mg /°C) TEMPERATURE COEFFICIENT (mg /°C)
09600- 09600- Figure 5. X-Axis Zero g Bias Temperature Coefficient Figure 8. Y-Axis Zero g Bias Temperature Coefficient
90 80 80 70 ) ) % 70 % ( ( 60 60 TION TION 50 LA LA U 50 U OP OP 40 40 T OF P T OF P 30 N 30 N E E C C R R 20 E 20 E P P 10 10 0 0 287 297 307 317 327 337 347 357 367 377 387
006
287 297 307 317 327 337 347 357 367 377 387
009
0. 0. 0. 0. 0. 0. 0. 0. 0. 0. 0. 0. 0. 0. 0. 0. 0. 0. 0. 0. 0. 0. SENSITIVITY (V/g ) SENSITIVITY (V/g )
09600- 09600- Figure 6. X-Axis Sensitivity at TA = 25°C Figure 9. Y-Axis Sensitivity at TA = 25°C Rev. B | Page 6 of 12 Document Outline FEATURES APPLICATIONS GENERAL DESCRIPTION FUNCTIONAL BLOCK DIAGRAM TABLE OF CONTENTS REVISION HISTORY SPECIFICATIONS ABSOLUTE MAXIMUM RATINGS THERMAL RESISTANCE ESD CAUTION PIN CONFIGURATION AND FUNCTION DESCRIPTIONS TYPICAL PERFORMANCE CHARACTERISTICS THEORY OF OPERATION PERFORMANCE APPLICATIONS INFORMATION POWER SUPPLY DECOUPLING SETTING THE BANDWIDTH USING CX AND CY SELF-TEST DESIGN TRADE-OFFS FOR SELECTING FILTER CHARACTERISTICS: NOISE/BANDWIDTH TRADE-OFF USING THE ADXL206 WITH OPERATING VOLTAGES OTHER THAN 5 V USING THE ADXL206 AS A DUAL-AXIS TILT SENSOR Dual-Axis Tilt Sensor: Converting Acceleration to Tilt OUTLINE DIMENSIONS ORDERING GUIDE