Datasheet ADXL372 (Analog Devices) - 10

HerstellerAnalog Devices
BeschreibungMicropower, 3-Axis, ±200 g Digital Output, MEMS
Seiten / Seite57 / 10 — Data Sheet. ADXL372
RevisionB
Dateiformat / GrößePDF / 980 Kb
DokumentenspracheEnglisch

Data Sheet. ADXL372

Data Sheet ADXL372

Modelllinie für dieses Datenblatt

Textversion des Dokuments

Data Sheet ADXL372 20 5 DISTRIBUTIONS SHOWN ARE OBTAINED FROM 143 PARTS FROM THREE DIFFERENT PRODUCTION LOTS. TEMPERATURE COEFFICIENTS ARE MEASURED BETWEEN –40°C TO 25°C AND BETWEEN 25°C TO 105°C. ) 18 THE DISPLAYED TEMPERATURE COEFFICIENT IS THE LARGER OF THE TWO. g 4 T ( ) E 16 3 % ( 14 2 OFFS TION D A L 12 1 LIZE PU A 10 M 0 PO F OR O 8 N –1 T g EN O 6 C –2 ER PER 4 S Z –3 XI 2 X-A –4 0 –5 –40 –30 –20 –10 0 10 20 30 40
010
–60 –40 –20 0 20 40 60 80 100 120
013
ZERO g OFFSET TEMPERATURE COEFFICIENT (mg /°C) TEMPERATURE (°C)
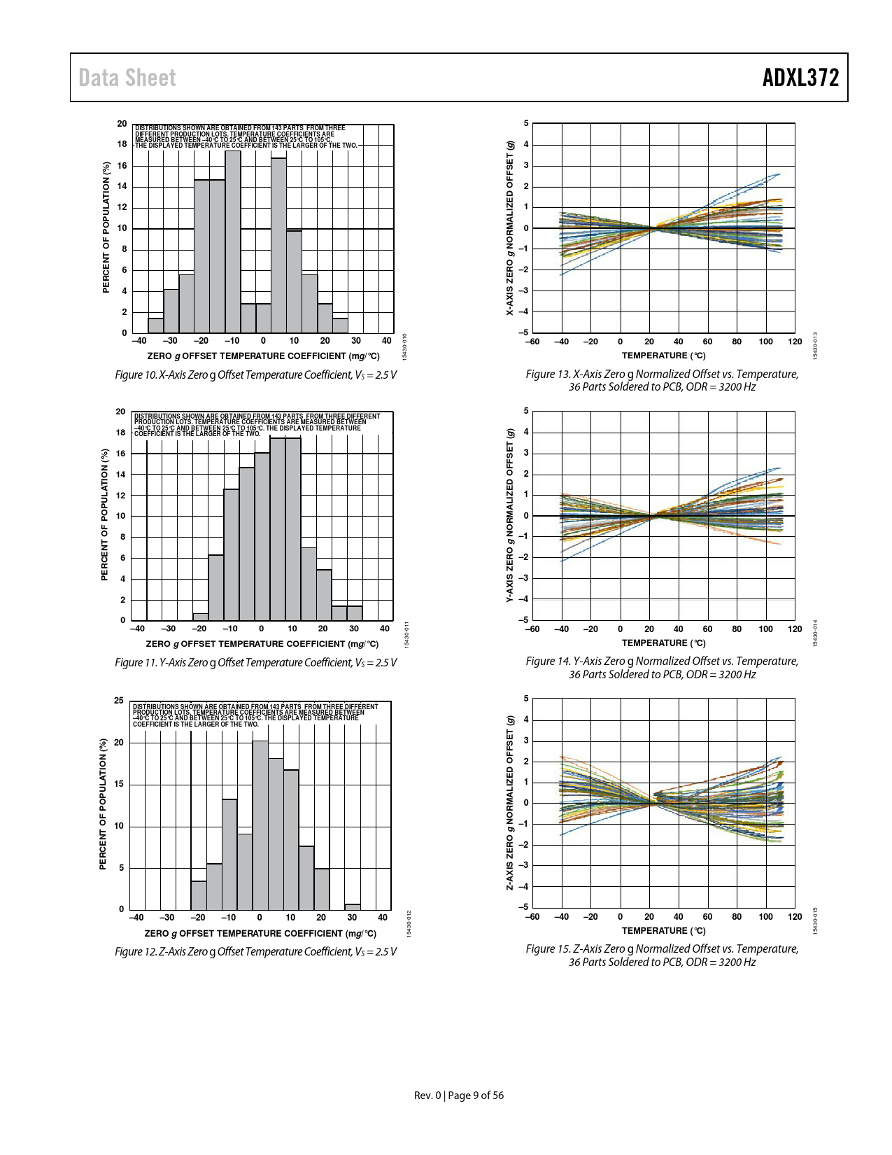
15430- 15430- Figure 10. X-Axis Zero g Offset Temperature Coefficient, VS = 2.5 V Figure 13. X-Axis Zero g Normalized Offset vs. Temperature, 36 Parts Soldered to PCB, ODR = 3200 Hz
20 5 DISTRIBUTIONS SHOWN ARE OBTAINED FROM 143 PARTS FROM THREE DIFFERENT PRODUCTION LOTS. TEMPERATURE COEFFICIENTS ARE MEASURED BETWEEN –40°C TO 25°C AND BETWEEN 25°C TO 105°C. THE DISPLAYED TEMPERATURE ) 18 COEFFICIENT IS THE LARGER OF THE TWO. 4 g T ( ) 16 E % 3 ( 14 2 OFFS TION D A L 12 1 LIZE PU A 10 M 0 PO F OR O 8 N –1 T g EN O 6 C –2 ER PER 4 S Z –3 XI -A 2 Y –4 0 –5 –40 –30 –20 –10 0 10 20 30 40
11 0
–60 –40 –20 0 20 40 60 80 100 120
014
ZERO g OFFSET TEMPERATURE COEFFICIENT (mg /°C) TEMPERATURE (°C)
15430- 15430- Figure 11. Y-Axis Zero g Offset Temperature Coefficient, VS = 2.5 V Figure 14. Y-Axis Zero g Normalized Offset vs. Temperature, 36 Parts Soldered to PCB, ODR = 3200 Hz
25 5 DISTRIBUTIONS SHOWN ARE OBTAINED FROM 143 PARTS FROM THREE DIFFERENT PRODUCTION LOTS. TEMPERATURE COEFFICIENTS ARE MEASURED BETWEEN ) –40°C TO 25°C AND BETWEEN 25°C TO 105°C. THE DISPLAYED TEMPERATURE 4 g COEFFICIENT IS THE LARGER OF THE TWO. T ( ) E 20 3 % ( 2 OFFS TION D A L 15 1 LIZE PU A M 0 PO F OR O 10 N –1 T g O EN –2 C ER PER 5 S Z –3 XI -A Z –4 0 –5 –40 –30 –20 –10 0 10 20 30 40
012
–60 –40 –20 0 20 40 60 80 100 120
015
ZERO g OFFSET TEMPERATURE COEFFICIENT (mg /°C) TEMPERATURE (°C)
15430- 15430- Figure 12. Z-Axis Zero g Offset Temperature Coefficient, V Figure 15. Z-Axis Zero g Normalized Offset vs. Temperature, S = 2.5 V 36 Parts Soldered to PCB, ODR = 3200 Hz Rev. 0 | Page 9 of 56 Document Outline FEATURES APPLICATIONS GENERAL DESCRIPTION FUNCTIONAL BLOCK DIAGRAM TABLE OF CONTENTS REVISION HISTORY SPECIFICATIONS ABSOLUTE MAXIMUM RATINGS THERMAL RESISTANCE RECOMMENDED SOLDERING PROFILE ESD CAUTION PIN CONFIGURATION AND FUNCTION DESCRIPTIONS TYPICAL PERFORMANCE CHARACTERISTICS THEORY OF OPERATION MECHANICAL DEVICE OPERATION OPERATING MODES Measurement Mode Instant On Mode Wake-Up Mode Standby BANDWIDTH Low-Pass Antialiasing Filter High-Pass Filter Filter Settling Time Selectable ODR POWER/NOISE TRADE-OFF POWER SAVINGS AUTONOMOUS EVENT DETECTION ACTIVITY AND INACTIVITY Low-Pass Activity Detect Filter Activity Detection Referenced and Absolute Configurations Activity Timer Activity Detection in Wake-Up Mode Inactivity Detection Referenced and Absolute Configurations Inactivity Timer Linking Activity and Inactivity Detection Default Mode Linked Mode Loop Mode Autosleep Using the AWAKE Bit MOTION WARNING IMPACT DETECTION FEATURES WIDE BANDWIDTH INSTANT ON IMPACT DETECTION CAPTURING IMPACT EVENTS FIFO BENEFITS OF THE FIFO System Level Power Savings Data Recording/Event Context USING THE FIFO FIFO Disabled Oldest Saved Mode (First N) Stream Mode (Last N) Triggered Mode RETRIEVING DATA FROM FIFO INTERRUPTS INTERRUPT PINS Alternate Functions TYPES OF INTERRUPTS Activity and Inactivity Interrupts Data Ready Interrupt FIFO Interrupts FIFO Watermark FIFO Ready Overrun ADDITIONAL FEATURES USING AN EXTERNAL CLOCK SYNCHRONIZED DATA SAMPLING SELF TEST Self Test Procedure USER REGISTER PROTECTION USER OFFSET TRIMS SERIAL COMMUNICATIONS SERIAL INTERFACE SPI Protocol I2C Protocol MULTIBYTE TRANSFERS INVALID ADDRESSES AND ADDRESS FOLDING SPI Timing Diagrams I2C Timing Diagrams REGISTER MAP REGISTER DETAILS ANALOG DEVICES ID REGISTER ANALOG DEVICES MEMS ID REGISTER DEVICE ID REGISTER PRODUCT REVISION ID REGISTER STATUS REGISTER ACTIVITY STATUS REGISTER FIFO ENTRIES REGISTER, MSB FIFO ENTRIES REGISTER, LSB X-AXIS DATA REGISTER, MSB X-AXIS DATA REGISTER, LSB Y-AXIS DATA REGISTER, MSB Y-AXIS DATA REGISTER, LSB Z-AXIS DATA REGISTER, MSB Z-AXIS DATA REGISTER, LSB HIGHEST PEAK DATA REGISTERS X-AXIS HIGHEST PEAK DATA REGISTER, MSB X-AXIS HIGHEST PEAK DATA REGISTER, LSB Y-AXIS HIGHEST PEAK DATA REGISTER, MSB Y-AXIS HIGHEST PEAK DATA REGISTER, LSB Z-AXIS HIGHEST PEAK DATA REGISTER, MSB Z-AXIS HIGHEST PEAK DATA REGISTER, LSB OFFSET TRIM REGISTERS X-AXIS OFFSET TRIM REGISTER, LSB Y-AXIS OFFSET TRIM REGISTER, LSB Z-AXIS OFFSET TRIM REGISTER, LSB X-AXIS ACTIVITY THRESHOLD REGISTER, MSB X-AXIS OF ACTIVITY THRESHOLD REGISTER, LSB Y-AXIS ACTIVITY THRESHOLD REGISTER, MSB Y-AXIS OF ACTIVITY THRESHOLD REGISTER, LSB Z-AXIS ACTIVITY THRESHOLD REGISTER, MSB Z-AXIS OF ACTIVITY THRESHOLD REGISTER, LSB ACTIVITY TIME REGISTER X-AXIS INACTIVITY THRESHOLD REGISTER, MSB X-AXIS OF INACTIVITY THRESHOLD REGISTER, LSB Y-AXIS INACTIVITY THRESHOLD REGISTER, MSB Y-AXIS OF INACTIVITY THRESHOLD REGISTER, LSB Z-AXIS INACTIVITY THRESHOLD REGISTER, MSB Z-AXIS OF INACTIVITY THRESHOLD REGISTER, LSB INACTIVITY TIME REGISTERS INACTIVITY TIMER REGISTER, MSB INACTIVITY TIMER REGISTER, LSB X-AXIS MOTION WARNING THRESHOLD REGISTER, MSB X-AXIS OF MOTION WARNING NOTIFICATION REGISTER, LSB Y-AXIS MOTION WARNING NOTIFICATION THRESHOLD REGISTER, MSB Y-AXIS OF MOTION WARNING NOTIFICATION REGISTER, LSB Z-AXIS MOTION WARNING NOTIFICATION THRESHOLD REGISTER, MSB Z-AXIS MOTION WARNING NOTIFICATION REGISTER, LSB HIGH-PASS FILTER SETTINGS REGISTER FIFO SAMPLES REGISTER FIFO CONTROL REGISTER INTERRUPT PIN FUNCTION MAP REGISTERS INT2 FUNCTION MAP REGISTER EXTERNAL TIMING CONTROL REGISTER MEASUREMENT CONTROL REGISTER POWER CONTROL REGISTER SELF TEST REGISTER RESET (CLEARS) REGISTER, PART IN STANDBY MODE FIFO ACCESS REGISTER APPLICATIONS INFORMATION APPLICATION EXAMPLES Power Supply Decoupling Using External Timing Triggers OPERATION AT VOLTAGES OTHER THAN 2.5 V OPERATION AT TEMPERATURES OTHER THAN AMBIENT MECHANICAL CONSIDERATIONS FOR MOUNTING AXES OF ACCELERATION SENSITIVITY LAYOUT AND DESIGN RECOMMENDATIONS OUTLINE DIMENSIONS ORDERING GUIDE