Datasheet ADA4528-2-EP (Analog Devices) - 10

HerstellerAnalog Devices
BeschreibungPrecision, Ultralow Noise, RRIO, Zero-Drift Dual Op Amp
Seiten / Seite17 / 10 — ADA4528-2-EP. Enhanced Product. 120. 135. PHASE. N (. rees). Deg. GAIN. …
Dateiformat / GrößePDF / 661 Kb
DokumentenspracheEnglisch

ADA4528-2-EP. Enhanced Product. 120. 135. PHASE. N (. rees). Deg. GAIN. HAS. PEN. VSY = 2.5V. VSY = 5V. –45. L = 10kΩ. CL = 100pF. –30. –90. 10k. 100k. 10M

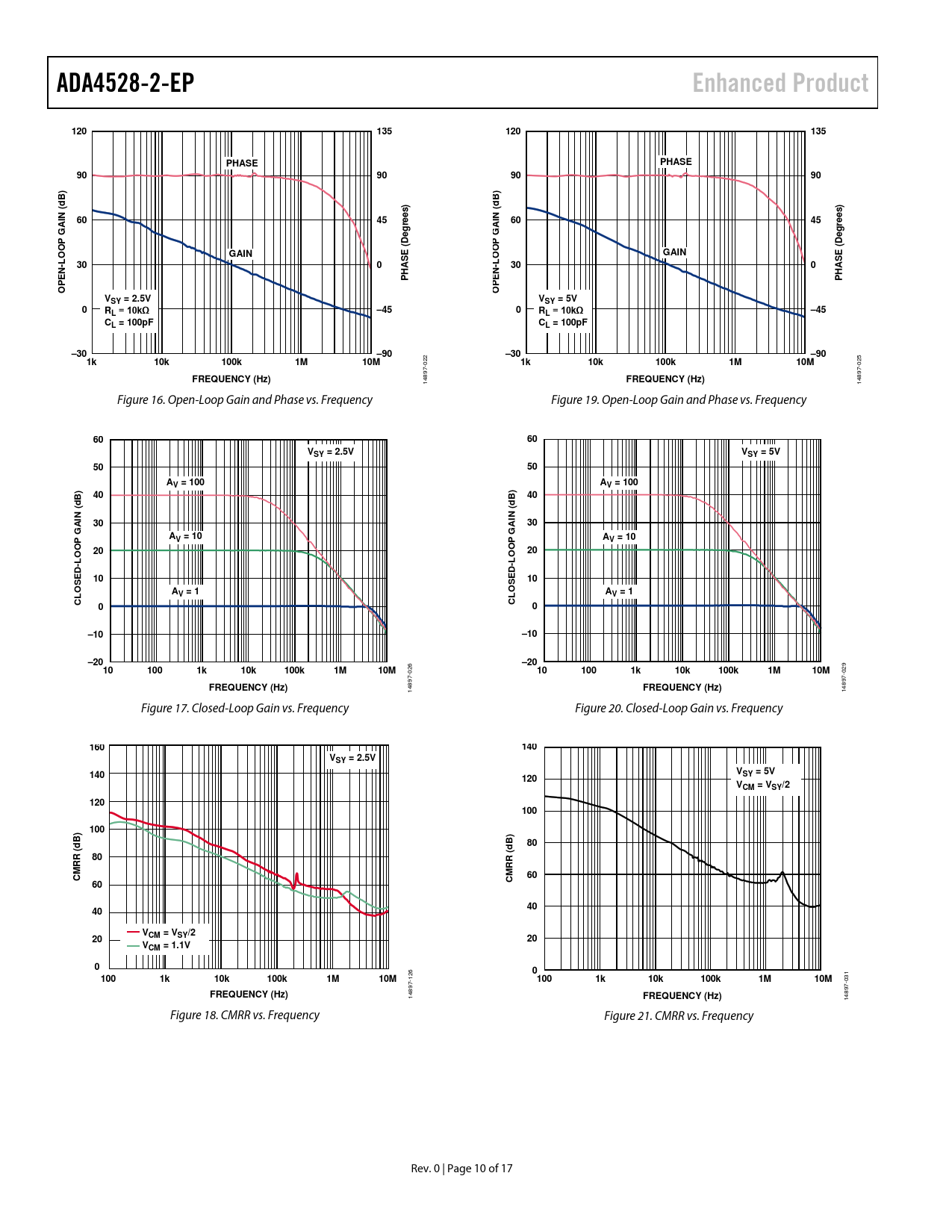
ADA4528-2-EP Enhanced Product 120 135 PHASE N ( rees) Deg GAIN HAS PEN VSY = 2.5V VSY = 5V –45 L = 10kΩ CL = 100pF –30 –90 10k 100k 10M

Modelllinie für dieses Datenblatt

Textversion des Dokuments

ADA4528-2-EP Enhanced Product 120 135 120 135 PHASE PHASE 90 90 90 90 B) B) d d N ( N ( 60 45 rees) 60 45 AI rees) AI G G P Deg P Deg ( O ( O GAIN E O GAIN E O -L 30 0 -L 30 0 HAS HAS P P PEN PEN O O VSY = 2.5V VSY = 5V 0 R –45 0 R –45 L = 10kΩ L = 10kΩ CL = 100pF CL = 100pF –30 –90 –30 –90 1k 10k 100k 1M 10M
022
1k 10k 100k 1M 10M
025
FREQUENCY (Hz)
14897-
FREQUENCY (Hz)
14897- Figure 16. Open-Loop Gain and Phase vs. Frequency Figure 19. Open-Loop Gain and Phase vs. Frequency
60 60 VSY = 2.5V VSY = 5V 50 50 AV = 100 AV = 100 B) 40 B) 40 d d N ( N ( AI 30 AI 30 G G P AV = 10 P AV = 10 20 20 -LOO -LOO D D E 10 E 10 A LOS AV = 1 LOS V = 1 C 0 C 0 –10 –10 –20 –20 10 100 1k 10k 100k 1M 10M
026
10 100 1k 10k 100k 1M 10M
029
FREQUENCY (Hz) FREQUENCY (Hz)
14897- 14897- Figure 17. Closed-Loop Gain vs. Frequency Figure 20. Closed-Loop Gain vs. Frequency
160 140 VSY = 2.5V 140 VSY = 5V 120 VCM = VSY/2 120 100 100 B) B) d 80 d 80 RR ( RR ( CM 60 CM 60 40 40 VCM = VSY/2 20 20 VCM = 1.1V 0 0 100 1k 10k 100k 1M 10M
126
100 1k 10k 100k 1M 10M
031
FREQUENCY (Hz)
14897-
FREQUENCY (Hz)
14897- Figure 18. CMRR vs. Frequency Figure 21. CMRR vs. Frequency Rev. 0 | Page 10 of 17 Document Outline FEATURES ENHANCED PRODUCT FEATURES APPLICATIONS PIN CONNECTION DIAGRAM GENERAL DESCRIPTION TABLE OF CONTENTS REVISION HISTORY SPECIFICATIONS ELECTRICAL CHARACTERISTICS—2.5 V OPERATION ELECTRICAL CHARACTERISTICS—5 V OPERATION ABSOLUTE MAXIMUM RATINGS THERMAL RESISTANCE ESD CAUTION PIN CONFIGURATION AND FUNCTION DESCRIPTIONS TYPICAL PERFORMANCE CHARACTERISTICS OUTLINE DIMENSIONS ORDERING GUIDE