Datasheet AD641 (Analog Devices) - 10

HerstellerAnalog Devices
Beschreibung250 MHz Demodulating Logarithmic Amplifier
Seiten / Seite12 / 10 — STANDARD. 5962-95598. MICROCIRCUIT DRAWING
Dateiformat / GrößePDF / 76 Kb
DokumentenspracheEnglisch

STANDARD. 5962-95598. MICROCIRCUIT DRAWING

STANDARD 5962-95598 MICROCIRCUIT DRAWING

Modelllinie für dieses Datenblatt

Textversion des Dokuments

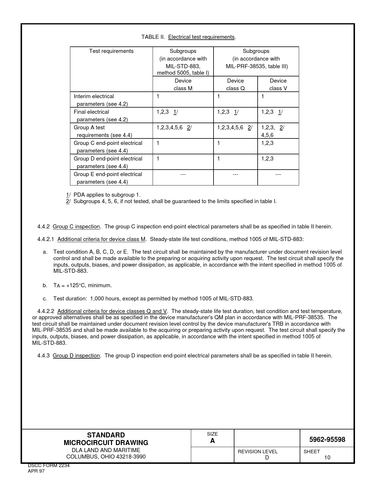
TABLE II. Electrical test requirements. Test requirements Subgroups Subgroups (in accordance with (in accordance with MIL-STD-883, MIL-PRF-38535, table III) method 5005, table I) Device Device Device class M class Q class V Interim electrical 1 1 1 parameters (see 4.2) Final electrical 1,2,3 1/ 1,2,3 1/ 1,2,3 1/ parameters (see 4.2) Group A test 1,2,3,4,5,6 2/ 1,2,3,4,5,6 2/ 1,2,3, 2/ requirements (see 4.4) 4,5,6 Group C end-point electrical 1 1 1,2,3 parameters (see 4.4) Group D end-point electrical 1 1 1,2,3 parameters (see 4.4) Group E end-point electrical --- --- --- parameters (see 4.4) 1/ PDA applies to subgroup 1. 2/ Subgroups 4, 5, 6, if not tested, shall be guaranteed to the limits specified in table I. 4.4.2 Group C inspection. The group C inspection end-point electrical parameters shall be as specified in table II herein. 4.4.2.1 Additional criteria for device class M. Steady-state life test conditions, method 1005 of MIL-STD-883: a. Test condition A, B, C, D, or E. The test circuit shall be maintained by the manufacturer under document revision level control and shall be made available to the preparing or acquiring activity upon request. The test circuit shall specify the inputs, outputs, biases, and power dissipation, as applicable, in accordance with the intent specified in method 1005 of MIL-STD-883. b. TA = +125C, minimum. c. Test duration: 1,000 hours, except as permitted by method 1005 of MIL-STD-883. 4.4.2.2 Additional criteria for device classes Q and V. The steady-state life test duration, test condition and test temperature, or approved alternatives shall be as specified in the device manufacturer's QM plan in accordance with MIL-PRF-38535. The test circuit shall be maintained under document revision level control by the device manufacturer's TRB in accordance with MIL-PRF-38535 and shall be made available to the acquiring or preparing activity upon request. The test circuit shall specify the inputs, outputs, biases, and power dissipation, as applicable, in accordance with the intent specified in method 1005 of MIL-STD-883. 4.4.3 Group D inspection. The group D inspection end-point electrical parameters shall be as specified in table II herein.
STANDARD
SIZE
5962-95598 MICROCIRCUIT DRAWING A
DLA LAND AND MARITIME REVISION LEVEL SHEET COLUMBUS, OHIO 43218-3990 D 10 DSCC FORM 2234 APR 97