Datasheet AD8231-EP (Analog Devices) - 8

HerstellerAnalog Devices
BeschreibungZero Drift, Digitally Programmable Instrumentation Amplifier
Seiten / Seite20 / 8 — AD8231-EP. PIN CONFIGURATION AND FUNCTION DESCRIPTIONS. PIN 1. NC 1. …
RevisionA
Dateiformat / GrößePDF / 497 Kb
DokumentenspracheEnglisch

AD8231-EP. PIN CONFIGURATION AND FUNCTION DESCRIPTIONS. PIN 1. NC 1. INDICATOR. 12 +VS. –INA (IN-AMP –IN) 2. 11 –VS

AD8231-EP PIN CONFIGURATION AND FUNCTION DESCRIPTIONS PIN 1 NC 1 INDICATOR 12 +VS –INA (IN-AMP –IN) 2 11 –VS

Textversion des Dokuments

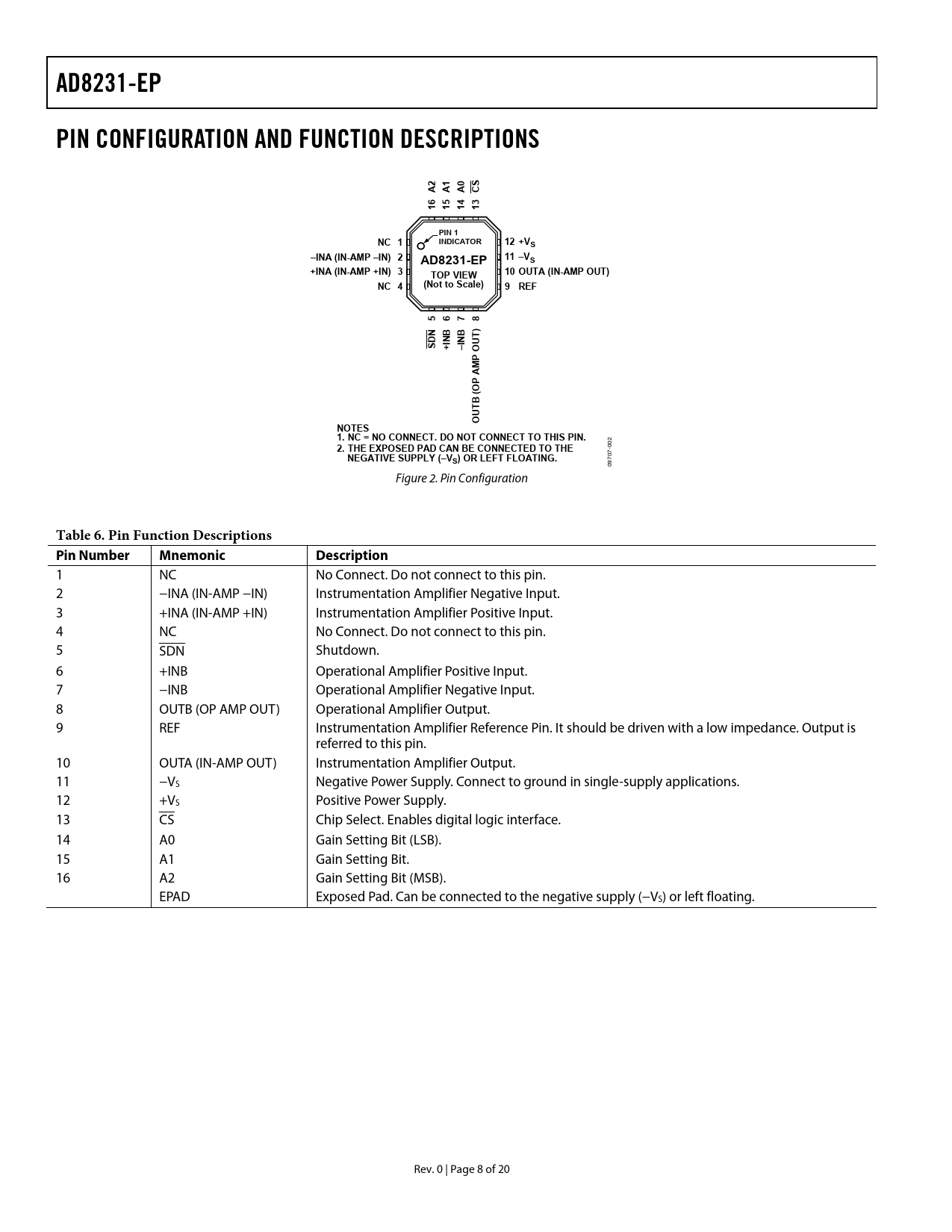
AD8231-EP PIN CONFIGURATION AND FUNCTION DESCRIPTIONS 2 1 0 S A A A C 6 5 4 1 1 1 31 PIN 1 NC 1 INDICATOR 12 +VS –INA (IN-AMP –IN) 2 11 –VS AD8231-EP +INA (IN-AMP +IN) 3 10 OUTA (IN-AMP OUT) TOP VIEW NC 4 (Not to Scale) 9 REF 5 6 7 8 N B B ) D N N T S I I U + O PMA PO( BTUO NOTES 1. NC = NO CONNECT. DO NOT CONNECT TO THIS PIN.
02 0
2. THE EXPOSED PAD CAN BE CONNECTED TO THE
7-
NEGATIVE SUPPLY (–V
70
S) OR LEFT FLOATING.
09 Figure 2. Pin Configuration
Table 6. Pin Function Descriptions Pin Number Mnemonic Description
1 NC No Connect. Do not connect to this pin. 2 −INA (IN-AMP −IN) Instrumentation Amplifier Negative Input. 3 +INA (IN-AMP +IN) Instrumentation Amplifier Positive Input. 4 NC No Connect. Do not connect to this pin. 5 SDN Shutdown. 6 +INB Operational Amplifier Positive Input. 7 −INB Operational Amplifier Negative Input. 8 OUTB (OP AMP OUT) Operational Amplifier Output. 9 REF Instrumentation Amplifier Reference Pin. It should be driven with a low impedance. Output is referred to this pin. 10 OUTA (IN-AMP OUT) Instrumentation Amplifier Output. 11 −VS Negative Power Supply. Connect to ground in single-supply applications. 12 +VS Positive Power Supply. 13 CS Chip Select. Enables digital logic interface. 14 A0 Gain Setting Bit (LSB). 15 A1 Gain Setting Bit. 16 A2 Gain Setting Bit (MSB). EPAD Exposed Pad. Can be connected to the negative supply (−VS) or left floating. Rev. 0 | Page 8 of 20 Document Outline FEATURES ENHANCED PRODUCT FEATURES FUNCTIONAL BLOCK DIAGRAM GENERAL DESCRIPTION TABLE OF CONTENTS REVISION HISTORY SPECIFICATIONS ABSOLUTE MAXIMUM RATINGS THERMAL RESISTANCE MAXIMUM POWER DISSIPATION ESD CAUTION PIN CONFIGURATION AND FUNCTION DESCRIPTIONS TYPICAL PERFORMANCE CHARACTERISTICS INSTRUMENTATION AMPLIFIER PERFORMANCE CURVES OPERATIONAL AMPLIFIER PERFORMANCE CURVES PERFORMANCE CURVES VALID FOR BOTH AMPLIFIERS OUTLINE DIMENSIONS ORDERING GUIDE