Datasheet ADA4938-1/ADA4938-2 (Analog Devices) - 10

HerstellerAnalog Devices
BeschreibungUltralow Distortion Differential ADC Driver (Dual)
Seiten / Seite26 / 10 — ADA4938-1/ADA4938-2. Data Sheet. IZE. A –12. –12. N –15. RL = 1kΩ. –18. L …
RevisionB
Dateiformat / GrößePDF / 605 Kb
DokumentenspracheEnglisch

ADA4938-1/ADA4938-2. Data Sheet. IZE. A –12. –12. N –15. RL = 1kΩ. –18. L = 100Ω. RL = 100Ω. RL = 200Ω. –21. 100. 1000. FREQUENCY (MHz). G = +1. G = +2

ADA4938-1/ADA4938-2 Data Sheet IZE A –12 –12 N –15 RL = 1kΩ –18 L = 100Ω RL = 100Ω RL = 200Ω –21 100 1000 FREQUENCY (MHz) G = +1 G = +2

Modelllinie für dieses Datenblatt

Textversion des Dokuments

ADA4938-1/ADA4938-2 Data Sheet 3 3 0 0 ) –3 ) –3 B B d d ( ( IN –6 IN –6 GA GA D –9 D –9 IZE IZE L L A –12 A M –12 M OR OR N –15 N –15 RL = 1kΩ RL = 1kΩ –18 R –18 L = 100Ω RL = 100Ω RL = 200Ω RL = 200Ω –21 –21 1 10 100 1000
11 14 1
1 10 100 1000
1 2- 2-
FREQUENCY (MHz)
59
FREQUENCY (MHz)
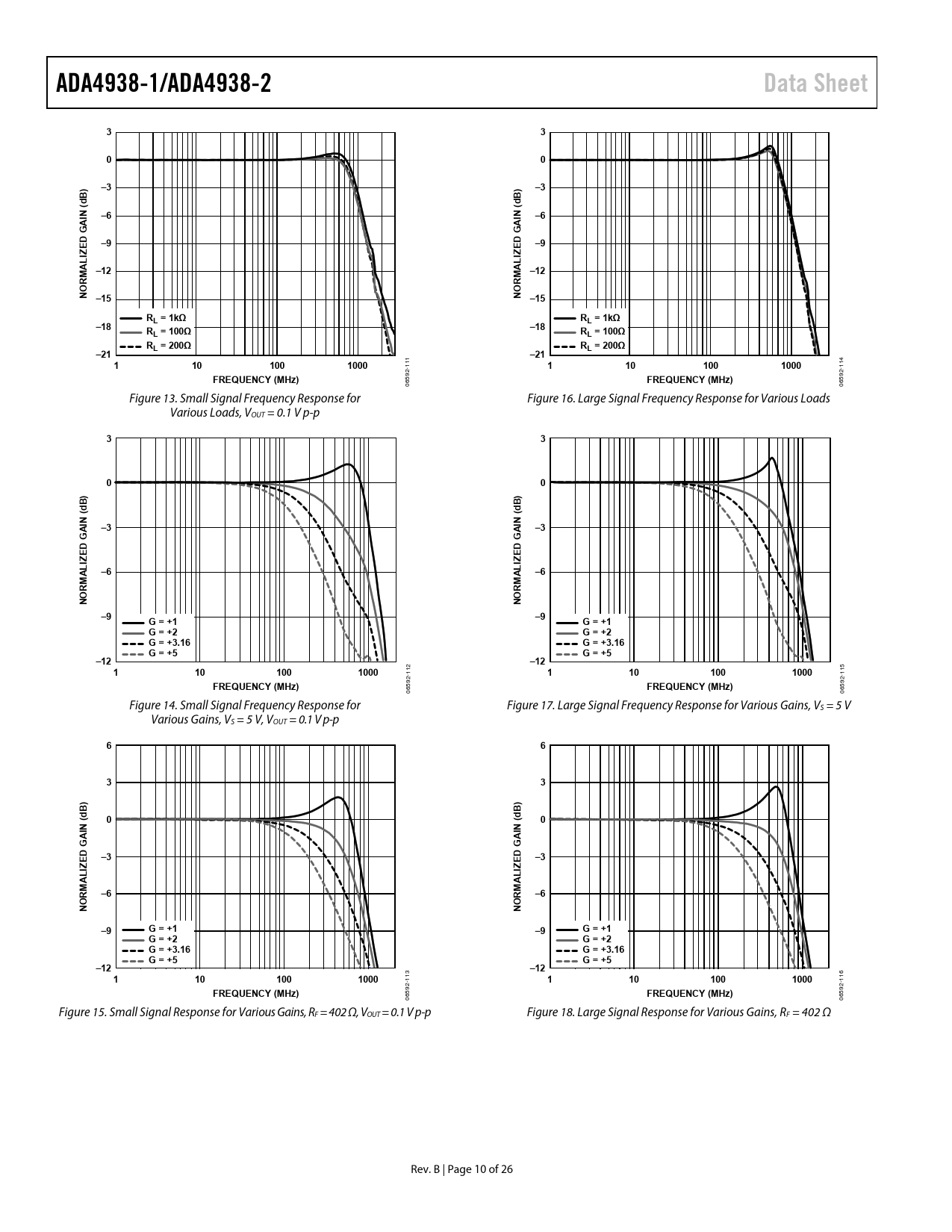
59 06 06 Figure 13. Small Signal Frequency Response for Figure 16. Large Signal Frequency Response for Various Loads Various Loads, VOUT = 0.1 V p-p
3 3 0 0 ) ) B B d d ( ( IN –3 IN –3 GA GA D D IZE IZE L L A –6 A –6 M M OR OR N N –9 G = +1 –9 G = +1 G = +2 G = +2 G = +3.16 G = +3.16 G = +5 G = +5 –12 –12 1 10 100 1000
12 15 1
1 10 100 1000
1 2- 2-
FREQUENCY (MHz)
59
FREQUENCY (MHz)
59 06 06 Figure 14. Small Signal Frequency Response for Figure 17. Large Signal Frequency Response for Various Gains, VS = 5 V Various Gains, VS = 5 V, VOUT = 0.1 V p-p
6 6 3 3 ) ) B B d d ( 0 ( 0 IN IN GA GA D –3 D –3 IZE IZE L L A A M M –6 –6 OR OR N N –9 G = +1 –9 G = +1 G = +2 G = +2 G = +3.16 G = +3.16 G = +5 G = +5 –12 –12 1 10 100 1000
13 16 1
1 10 100 1000
1 2- 2-
FREQUENCY (MHz)
59
FREQUENCY (MHz)
59 06 06 Figure 15. Small Signal Response for Various Gains, RF = 402 Ω, VOUT = 0.1 V p-p Figure 18. Large Signal Response for Various Gains, RF = 402 Ω Rev. B | Page 10 of 26 Document Outline FEATURES APPLICATIONS GENERAL DESCRIPTION FUNCTIONAL BLOCK DIAGRAMS REVISION HISTORY SPECIFICATIONS DUAL-SUPPLY OPERATION ±DIN to ±OUT Performance VOCM to ±OUT Performance SINGLE-SUPPLY OPERATION ±DIN to ±OUT Performance VOCM to ±OUT Performance ABSOLUTE MAXIMUM RATINGS THERMAL RESISTANCE Maximum Power Dissipation ESD CAUTION PIN CONFIGURATIONS AND FUNCTION DESCRIPTIONS TYPICAL PERFORMANCE CHARACTERISTICS TEST CIRCUTS TERMINOLOGY THEORY OF OPERATION ANALYZING AN APPLICATION CIRCUIT SETTING THE CLOSED-LOOP GAIN ESTIMATING THE OUTPUT NOISE VOLTAGE THE IMPACT OF MISMATCHES IN THE FEEDBACK NETWORKS CALCULATING THE INPUT IMPEDANCE OF AN APPLICATION CIRCUIT INPUT COMMON-MODE VOLTAGE RANGE IN SINGLE-SUPPLY APPLICATIONS TERMINATING A SINGLE-ENDED INPUT SETTING THE OUTPUT COMMON-MODE VOLTAGE LAYOUT, GROUNDING, AND BYPASSING HIGH PERFORMANCE ADC DRIVING OUTLINE DIMENSIONS ORDERING GUIDE