Datasheet AD8475 (Analog Devices) - 10

HerstellerAnalog Devices
BeschreibungPrecision, Selectable Gain, Fully Differential Funnel Amplifier
Seiten / Seite24 / 10 — AD8475. Data Sheet. –1.94. G = 0.8. –7.96. –10. G = 0.4. –20. IN A. –30. …
RevisionD
Dateiformat / GrößePDF / 555 Kb
DokumentenspracheEnglisch

AD8475. Data Sheet. –1.94. G = 0.8. –7.96. –10. G = 0.4. –20. IN A. –30. –40. –50. 10k. 100k. 10M. 100M. FREQUENCY (Hz). VS = ±5V. VS = +3V. VS = +5V. B d (. (dB

AD8475 Data Sheet –1.94 G = 0.8 –7.96 –10 G = 0.4 –20 IN A –30 –40 –50 10k 100k 10M 100M FREQUENCY (Hz) VS = ±5V VS = +3V VS = +5V B d ( (dB

Modelllinie für dieses Datenblatt

Textversion des Dokuments

AD8475 Data Sheet 0 –1.94 G = 0.8 0 –7.96 –10 G = 0.4 –1.94 G = 0.8 –7.96 ) –20 ) G = 0.4 B B –10 d d ( ( IN IN A GA G –30 –20 –40 –50 –30 1k 10k 100k 1M 10M 100M 1G
17
1k 10k 100k 1M 10M 100M
019 0 2- 32-
FREQUENCY (Hz) FREQUENCY (Hz)
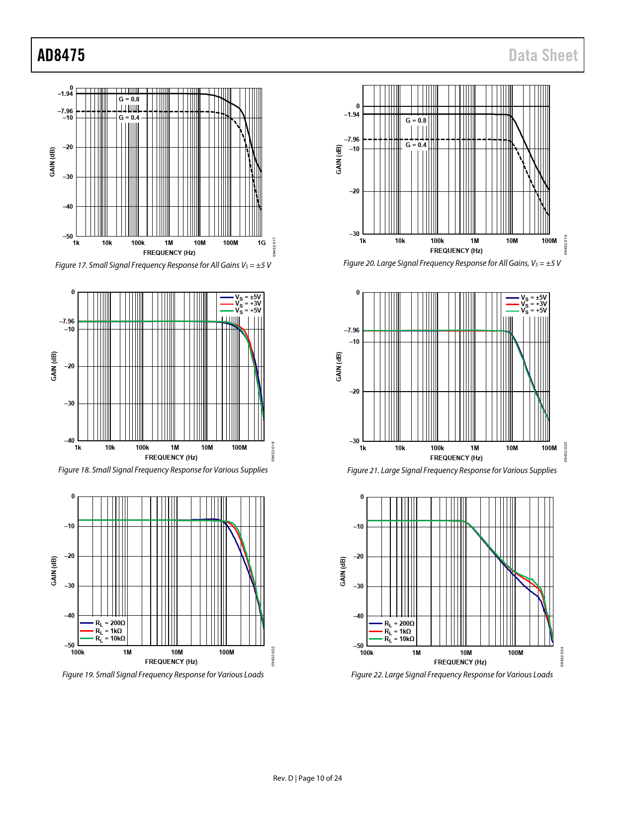
943 094 0 Figure 17. Small Signal Frequency Response for All Gains V Figure 20. Large Signal Frequency Response for All Gains, V S = ±5 V S = ±5 V
0 0 VS = ±5V VS = ±5V VS = +3V VS = +3V VS = +5V VS = +5V –7.96 –10 –7.96 –10 ) ) B d ( –20 (dB IN IN GA GA –20 –30 –40
8
–30
0
1k 10k 100k 1M 10M 100M
01
1k 10k 100k 1M 10M 100M
-02 2-
FREQUENCY (Hz)
43
FREQUENCY (Hz)
432 09 09 Figure 18. Small Signal Frequency Response for Various Supplies Figure 21. Large Signal Frequency Response for Various Supplies
0 0 –10 –10 ) –20 ) –20 B d ( (dB IN IN GA –30 GA –30 –40 –40 RL = 200Ω RL = 200Ω RL = 1kΩ RL = 1kΩ RL = 10kΩ RL = 10kΩ –50
2
–50
4
100k 1M 10M 100M
02
100k 1M 10M 100M
02 2- 2-
FREQUENCY (Hz)
43
FREQUENCY (Hz)
43 09 09 Figure 19. Small Signal Frequency Response for Various Loads Figure 22. Large Signal Frequency Response for Various Loads Rev. D | Page 10 of 24 Document Outline FEATURES APPLICATIONS GENERAL DESCRIPTION FUNCTIONAL BLOCK DIAGRAMS REVISION HISTORY SPECIFICATIONS ABSOLUTE MAXIMUM RATINGS THERMAL RESISTANCE ESD CAUTION PIN CONFIGURATIONS AND FUNCTION DESCRIPTIONS TYPICAL PERFORMANCE CHARACTERISTICS TERMINOLOGY THEORY OF OPERATION OVERVIEW CIRCUIT INFORMATION Output Common-Mode Voltage (VOCM) DC PRECISION INPUT VOLTAGE RANGE DRIVING THE AD8475 POWER SUPPLIES APPLICATIONS INFORMATION TYPICAL CONFIGURATION SINGLE-ENDED TO DIFFERENTIAL CONVERSION SETTING THE OUTPUT COMMON-MODE VOLTAGE HIGH PERFORMANCE ADC DRIVING AD8475 EVALUATION BOARD OUTLINE DIMENSIONS ORDERING GUIDE