Datasheet AD7683 (Analog Devices) - 8

HerstellerAnalog Devices
Beschreibung100 kSPS 16-BIT PulSAR® A/D Converter in µSOIC/QFN
Seiten / Seite17 / 8 — Data Sheet. AD7683. PIN CONFIGURATIONS AND FUNCTION DESCRIPTIONS. REF 1. …
RevisionB
Dateiformat / GrößePDF / 476 Kb
DokumentenspracheEnglisch

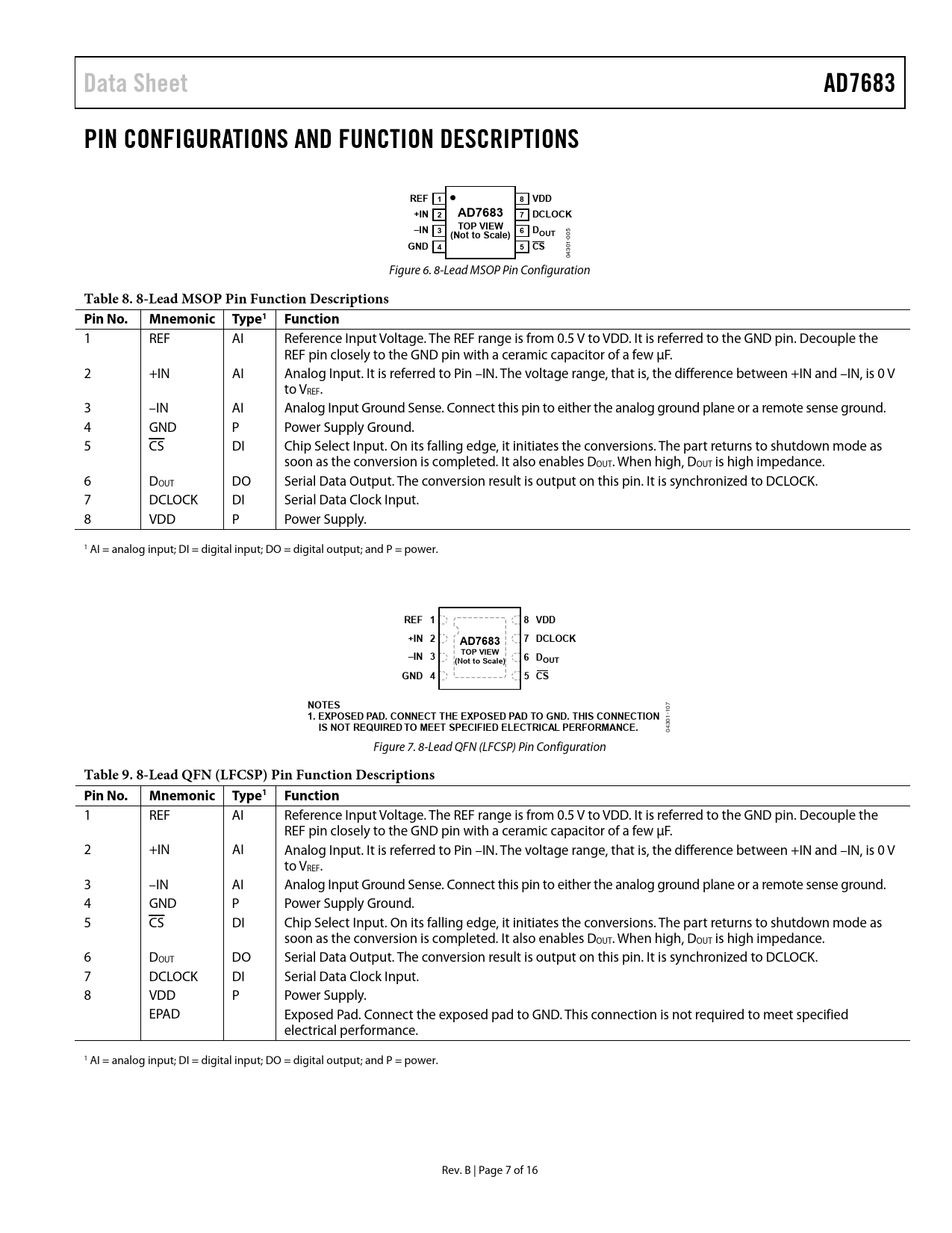
Data Sheet. AD7683. PIN CONFIGURATIONS AND FUNCTION DESCRIPTIONS. REF 1. 8 VDD. +IN 2. 7 DCLOCK. –IN. TOP VIEW. 6 DOUT. (Not to Scale). GND 4

Data Sheet AD7683 PIN CONFIGURATIONS AND FUNCTION DESCRIPTIONS REF 1 8 VDD +IN 2 7 DCLOCK –IN TOP VIEW 6 DOUT (Not to Scale) GND 4

Modelllinie für dieses Datenblatt

Textversion des Dokuments

Data Sheet AD7683 PIN CONFIGURATIONS AND FUNCTION DESCRIPTIONS REF 1 8 VDD +IN 2 AD7683 7 DCLOCK –IN TOP VIEW 3 6 DOUT (Not to Scale)
005 01-
GND 4 5 CS
043 Figure 6. 8-Lead MSOP Pin Configuration
Table 8. 8-Lead MSOP Pin Function Descriptions Pin No. Mnemonic Type1 Function
1 REF AI Reference Input Voltage. The REF range is from 0.5 V to VDD. It is referred to the GND pin. Decouple the REF pin closely to the GND pin with a ceramic capacitor of a few μF. 2 +IN AI Analog Input. It is referred to Pin –IN. The voltage range, that is, the difference between +IN and –IN, is 0 V to VREF. 3 –IN AI Analog Input Ground Sense. Connect this pin to either the analog ground plane or a remote sense ground. 4 GND P Power Supply Ground. 5 CS DI Chip Select Input. On its falling edge, it initiates the conversions. The part returns to shutdown mode as soon as the conversion is completed. It also enables DOUT. When high, DOUT is high impedance. 6 DOUT DO Serial Data Output. The conversion result is output on this pin. It is synchronized to DCLOCK. 7 DCLOCK DI Serial Data Clock Input. 8 VDD P Power Supply. 1 AI = analog input; DI = digital input; DO = digital output; and P = power.
REF 1 8 VDD +IN 2 7 DCLOCK AD7683 –IN 3 TOP VIEW 6 D (Not to Scale) OUT GND 4 5 CS NOTES
07 1
1. EXPOSED PAD. CONNECT THE EXPOSED PAD TO GND. THIS CONNECTION
01-
IS NOT REQUIRED TO MEET SPECIFIED ELECTRICAL PERFORMANCE.
043 Figure 7. 8-Lead QFN (LFCSP) Pin Configuration
Table 9. 8-Lead QFN (LFCSP) Pin Function Descriptions Pin No. Mnemonic Type1 Function
1 REF AI Reference Input Voltage. The REF range is from 0.5 V to VDD. It is referred to the GND pin. Decouple the REF pin closely to the GND pin with a ceramic capacitor of a few μF. 2 +IN AI Analog Input. It is referred to Pin –IN. The voltage range, that is, the difference between +IN and –IN, is 0 V to VREF. 3 –IN AI Analog Input Ground Sense. Connect this pin to either the analog ground plane or a remote sense ground. 4 GND P Power Supply Ground. 5 CS DI Chip Select Input. On its falling edge, it initiates the conversions. The part returns to shutdown mode as soon as the conversion is completed. It also enables DOUT. When high, DOUT is high impedance. 6 DOUT DO Serial Data Output. The conversion result is output on this pin. It is synchronized to DCLOCK. 7 DCLOCK DI Serial Data Clock Input. 8 VDD P Power Supply. EPAD Exposed Pad. Connect the exposed pad to GND. This connection is not required to meet specified electrical performance. 1 AI = analog input; DI = digital input; DO = digital output; and P = power. Rev. B | Page 7 of 16 Document Outline Features Applications Application Diagram General Description Table of Contents Revision History Specifications Timing Specifications Timing and Circuit Diagrams Absolute Maximum Ratings Thermal Resistance ESD Caution Pin Configurations and Function Descriptions Terminology Typical Performance Characteristics Applications Information Circuit Information Converter Operation Transfer Functions Typical Connection Diagram Analog Input Driver Amplifier Choice Voltage Reference Input Power Supply Digital Interface Layout Evaluating the AD7683 Performance Outline Dimensions Ordering Guide