Datasheet AD8017 (Analog Devices) - 7
| Hersteller | Analog Devices |
| Beschreibung | Low Cost, High Output Current, High Output Voltage Line Driver |
| Seiten / Seite | 17 / 7 — AD8017. OUT = 2V p-p. G = +2. –20. –40. dBc. –60. 2ND. DISTORTION –80. … |
| Revision | C |
| Dateiformat / Größe | PDF / 262 Kb |
| Dokumentensprache | Englisch |
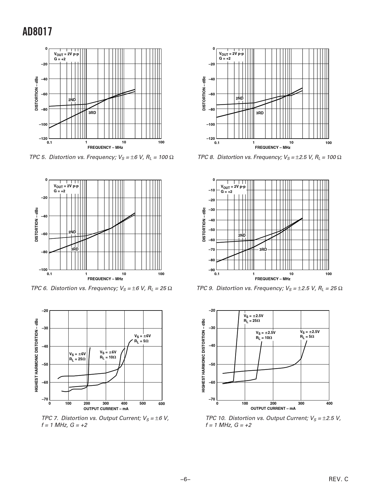
AD8017. OUT = 2V p-p. G = +2. –20. –40. dBc. –60. 2ND. DISTORTION –80. 3RD. –100. –120. 0.1. 100. FREQUENCY – MHz. VOUT = 2V p-p. –10. –30. – –40. –50

Textversion des Dokuments
AD8017 0 0 V V OUT = 2V p-p OUT = 2V p-p G = +2 G = +2 –20 –20 –40 –40 dBc dBc – – –60 –60 2ND 2ND DISTORTION –80 DISTORTION –80 3RD 3RD –100 –100 –120 –120 0.1 1 10 100 0.1 1 10 100 FREQUENCY – MHz FREQUENCY – MHz
TPC 5. Distortion vs. Frequency; VS = ±6 V, RL = 100 Ω TPC 8. Distortion vs. Frequency; VS = ±2.5 V, RL = 100 Ω
0 0 VOUT = 2V p-p VOUT = 2V p-p G = +2 –10 G = +2 –20 –20 –30 dBc dBc – –40 – –40 –50 –60 2ND 2ND DISTORTION DISTORTION –60 3RD –70 3RD –80 –80 –100 –90 0.1 1 10 100 0.1 1 10 100 FREQUENCY – MHz FREQUENCY – MHz
TPC 6. Distortion vs. Frequency; VS = ±6 V, RL = 25 Ω TPC 9. Distortion vs. Frequency; VS = ±2.5 V, RL = 25 Ω
–20 –20 VS =
ⴞ
2.5V RL = 25
⍀
dBc dBc – –30 – –30 V V S =
ⴞ
2.5V S =
ⴞ
2.5V VS =
ⴞ
6V R R L = 10
⍀
L = 5
⍀
RL = 5
⍀
–40 –40 V V S =
ⴞ
6V S =
ⴞ
6V R R L = 10
⍀
L = 25
⍀
–50 –50 –60 –60 HIGHEST HARMONIC DISTORTION HIGHEST HARMONIC DISTORTION –70 –70 0 100 200 300 400 500 600 0 100 200 300 400 OUTPUT CURRENT – mA OUTPUT CURRENT – mA
TPC 7. Distortion vs. Output Current; VS = ±6 V, TPC 10. Distortion vs. Output Current; VS = ±2.5 V, f = 1 MHz, G = +2 f = 1 MHz, G = +2 –6– REV. C