Datasheet ADA4004-1, ADA4004-2, ADA4004-4 (Analog Devices) - 8
| Hersteller | Analog Devices |
| Beschreibung | 1.8nV/√Hz, 36 V Precision Dual Amplifier |
| Seiten / Seite | 16 / 8 — ADA4004-1/ADA4004-2/ADA4004-4. Data Sheet. 1600. ADA4004-4. SY = ±15V. L … |
| Revision | H |
| Dateiformat / Größe | PDF / 391 Kb |
| Dokumentensprache | Englisch |
ADA4004-1/ADA4004-2/ADA4004-4. Data Sheet. 1600. ADA4004-4. SY = ±15V. L = 2kΩ. G = +100. 1200. V) m. dB (. (V/. IN A. G = +10. 800. P G O O. -LOOP D

Modelllinie für dieses Datenblatt
Textversion des Dokuments
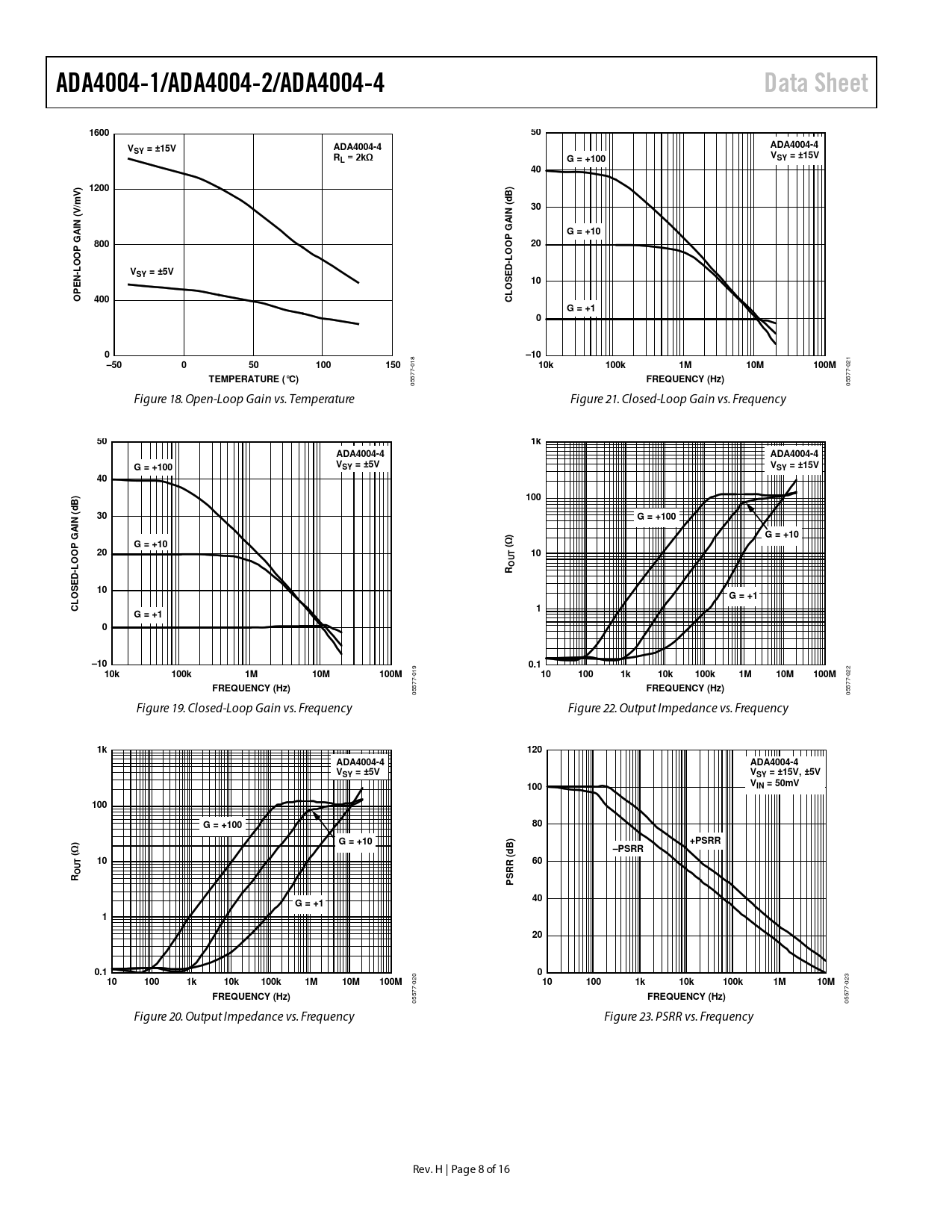
ADA4004-1/ADA4004-2/ADA4004-4 Data Sheet 1600 50 ADA4004-4 V ADA4004-4 SY = ±15V R V L = 2kΩ G = +100 SY = ±15V 40 1200 ) V) m dB ( 30 (V/ IN IN A GA G = +10 800 20 P G O O -LOOP D -L VSY = ±5V E 10 PEN LOS O 400 C G = +1 0 0 –10 –50 0 50 100 150
018
10k 100k 1M 10M 100M
021
TEMPERATURE (°C) FREQUENCY (Hz)
05577- 05577- Figure 18. Open-Loop Gain vs. Temperature Figure 21. Closed-Loop Gain vs. Frequency
50 1k ADA4004-4 ADA4004-4 G = +100 VSY = ±5V VSY = ±15V 40 ) 100 dB ( 30 G = +100 IN G = +10 GA G = +10 (Ω) 20 10 UT O -LOOP R D E 10 G = +1 LOS C 1 G = +1 0 –10 0.1 10k 100k 1M 10M 100M
019
10 100 1k 10k 100k 1M 10M 100M
022
FREQUENCY (Hz) FREQUENCY (Hz)
05577- 05577- Figure 19. Closed-Loop Gain vs. Frequency Figure 22. Output Impedance vs. Frequency
1k 120 ADA4004-4 ADA4004-4 VSY = ±5V VSY = ±15V, ±5V 100 VIN = 50mV 100 G = +100 80 G = +10 B) +PSRR (Ω) d –PSRR 10 60 UT O RR ( R S P 40 G = +1 1 20 0.1 0 10 100 1k 10k 100k 1M 10M 100M
020
10 100 1k 10k 100k 1M 10M
023
FREQUENCY (Hz) FREQUENCY (Hz)
05577- 05577- Figure 20. Output Impedance vs. Frequency Figure 23. PSRR vs. Frequency Rev. H | Page 8 of 16 Document Outline FEATURES APPLICATIONS GENERAL DESCRIPTION PIN CONFIGURATIONS TABLE OF CONTENTS REVISION HISTORY SPECIFICATIONS ABSOLUTE MAXIMUM RATINGS THERMAL RESISTANCE ESD CAUTION TYPICAL PERFORMANCE CHARACTERISTICS OUTLINE DIMENSIONS ORDERING GUIDE