Datasheet ADA4004-1, ADA4004-2, ADA4004-4 (Analog Devices) - 6

HerstellerAnalog Devices
Beschreibung1.8nV/√Hz, 36 V Precision Dual Amplifier
Seiten / Seite16 / 6 — ADA4004-1/ADA4004-2/ADA4004-4. Data Sheet. TYPICAL PERFORMANCE …
RevisionH
Dateiformat / GrößePDF / 391 Kb
DokumentenspracheEnglisch

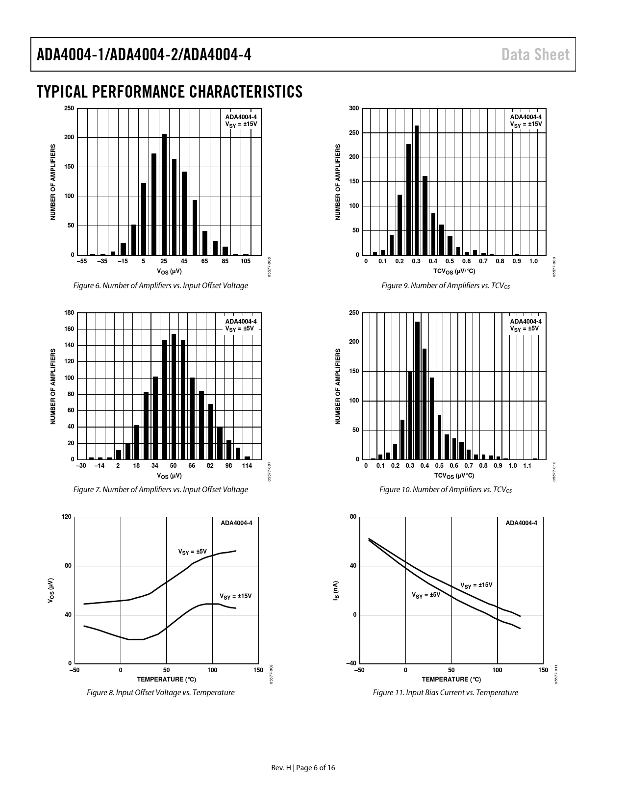
ADA4004-1/ADA4004-2/ADA4004-4. Data Sheet. TYPICAL PERFORMANCE CHARACTERISTICS. 250. 300. ADA4004-4. VSY = ±15V. 200. 150. R O. 100. NUM. –55

ADA4004-1/ADA4004-2/ADA4004-4 Data Sheet TYPICAL PERFORMANCE CHARACTERISTICS 250 300 ADA4004-4 VSY = ±15V 200 150 R O 100 NUM –55

Modelllinie für dieses Datenblatt

Textversion des Dokuments

ADA4004-1/ADA4004-2/ADA4004-4 Data Sheet TYPICAL PERFORMANCE CHARACTERISTICS 250 300 ADA4004-4 ADA4004-4 VSY = ±15V VSY = ±15V 250 200 RS RS IE IE 200 IF IF L 150 L P P AM AM 150 F F R O 100 R O BE BE 100 NUM NUM 50 50 0 0
6 9
–55 –35 –15 5 25 45 65 85 105
00
0 0.1 0.2 0.3 0.4 0.5 0.6 0.7 0.8 0.9 1.0
00 7- 7-
VOS (µV)
57
TCVOS (µV/°C)
57 05 05 Figure 6. Number of Amplifiers vs. Input Offset Voltage Figure 9. Number of Amplifiers vs. TCVOS
180 250 ADA4004-4 ADA4004-4 160 VSY = ±5V VSY = ±5V 200 140 RS RS IE 120 IE IF IF L L 150 P P 100 AM AM F F 80 R O R O 100 BE 60 BE NUM NUM 40 50 20 0 0
7 0
–30 –14 2 18 34 50 66 82 98 114
00
0 0.1 0.2 0.3 0.4 0.5 0.6 0.7 0.8 0.9 1.0 1.1
01 7- 7-
VOS (µV)
57
TCVOS (µV°C)
57 05 05 Figure 7. Number of Amplifiers vs. Input Offset Voltage Figure 10. Number of Amplifiers vs. TCVOS
120 80 ADA4004-4 ADA4004-4 VSY = ±5V 80 40 V) ) A V SY = ±15V (n V OS VSY = ±15V SY = ±5V V I B 40 0 0
8
–40
1
–50 0 50 100 150
00
–50 0 50 100 150
01 7- 7-
TEMPERATURE (°C)
57
TEMPERATURE (°C)
57 05 05 Figure 8. Input Offset Voltage vs. Temperature Figure 11. Input Bias Current vs. Temperature Rev. H | Page 6 of 16 Document Outline FEATURES APPLICATIONS GENERAL DESCRIPTION PIN CONFIGURATIONS TABLE OF CONTENTS REVISION HISTORY SPECIFICATIONS ABSOLUTE MAXIMUM RATINGS THERMAL RESISTANCE ESD CAUTION TYPICAL PERFORMANCE CHARACTERISTICS OUTLINE DIMENSIONS ORDERING GUIDE