Datasheet ADA4505-1, ADA4505-2, ADA4505-4 (Analog Devices) - 8
| Hersteller | Analog Devices |
| Beschreibung | 10µA, RRIO, Zero Input Crossover Distortion Single Op Amp |
| Seiten / Seite | 24 / 8 — ADA4505-1/ADA4505-2/ADA4505-4. 10k. VSY = 1.8V. VSY = 5V. m (. IL (. R Y. … |
| Revision | E |
| Dateiformat / Größe | PDF / 860 Kb |
| Dokumentensprache | Englisch |
ADA4505-1/ADA4505-2/ADA4505-4. 10k. VSY = 1.8V. VSY = 5V. m (. IL (. R Y. 100. O ) T. ) TO. (V OL. –40°C. 0.1. +25°C. +85°C. +125°C. 0.01. 0.001

Textversion des Dokuments
ADA4505-1/ADA4505-2/ADA4505-4
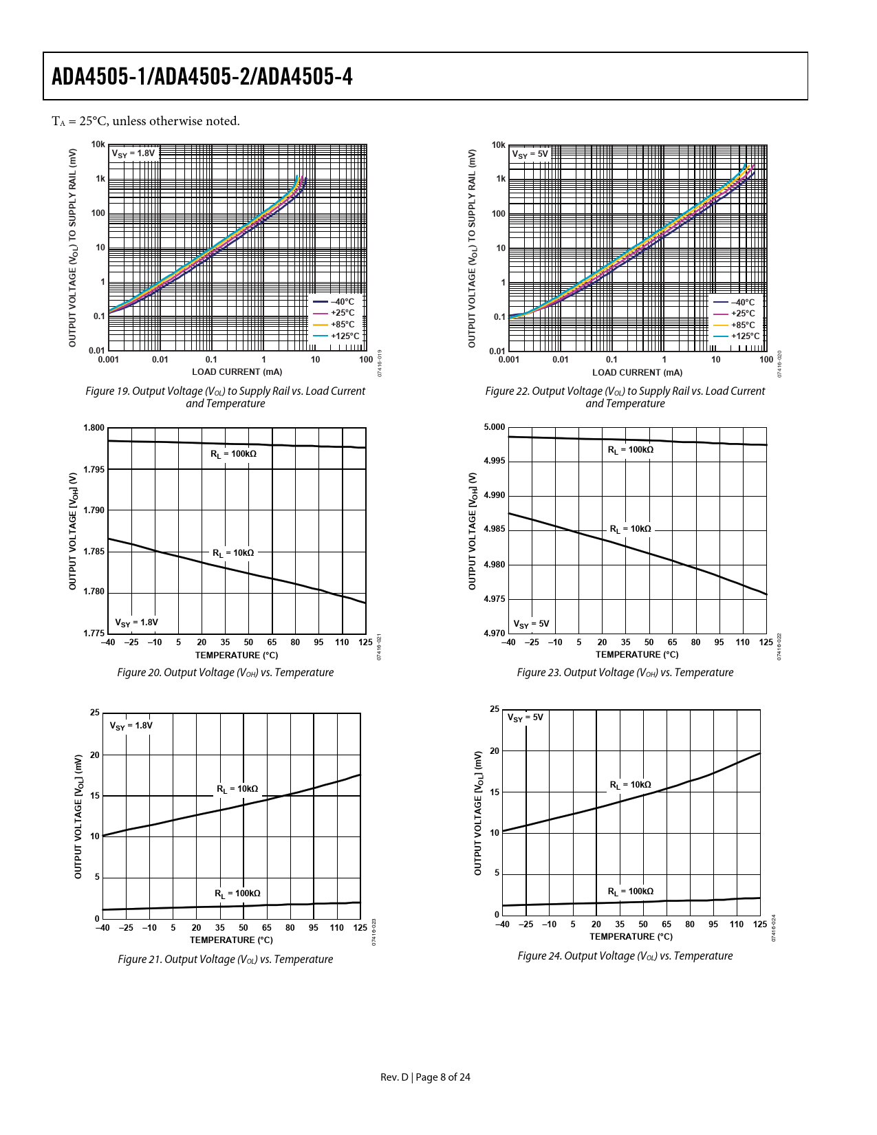
TA = 25°C, unless otherwise noted.
10k ) 10k ) V VSY = 1.8V V VSY = 5V m m ( IL ( 1k IL A 1k A R R Y LY L P P P 100 P 100 U U S S O ) T 10 ) TO 10 (V OL (V OL E E AG 1 AG 1 T T L L O –40°C O –40°C V V 0.1 +25°C +25°C UT 0.1 UT P +85°C P +85°C UT +125°C UT +125°C O O 0.01
9
0.01 0.001 0.01 0.1 1 10 100
01
0.001 0.01 0.1 1 10 100
200 6- 6-
LOAD CURRENT (mA)
41
LOAD CURRENT (mA)
41 07 07 Figure 19. Output Voltage (VOL) to Supply Rail vs. Load Current Figure 22. Output Voltage (VOL) to Supply Rail vs. Load Current and Temperature and Temperature
1.800 5.000 R RL = 100kΩ L = 100kΩ 4.995 1.795 ) ) ] (V ] (V 4.990 V OH [V OH 1.790 [ E E G A AG 4.985 T RL = 10kΩ LT L O O V 1.785 R V T L = 10kΩ U UT 4.980 P TP UT OU 1.780 O 4.975 VSY = 1.8V VSY = 5V 1.775
1
4.970
2
–40 –25 –10 5 20 35 50 65 80 95 110 125
-02
–40 –25 –10 5 20 35 50 65 80 95 110 125
026- 16
TEMPERATURE (°C) TEMPERATURE (°C)
41 074 07 Figure 20. Output Voltage (VOH) vs. Temperature Figure 23. Output Voltage (VOH) vs. Temperature
25 25 VSY = 5V VSY = 1.8V ) 20 ) 20 V V m m ] ( ] ( R V OL R V OL L = 10kΩ [ 15 L = 10kΩ [ 15 E E G A AG T LT L O O 10 10 V V T U UT P P T UT OU 5 O 5 R R L = 100kΩ L = 100kΩ 0 0
4 3 02
–40 –25 –10 5 20 35 50 65 80 95 110 125
02
–40 –25 –10 5 20 35 50 65 80 95 110 125
6- 6- 41
TEMPERATURE (°C)
41
TEMPERATURE (°C)
07 07 Figure 21. Output Voltage (V Figure 24. Output Voltage (VOL) vs. Temperature OL) vs. Temperature Rev. D | Page 8 of 24 Document Outline FEATURES APPLICATIONS GENERAL DESCRIPTION PIN CONFIGURATIONS TABLE OF CONTENTS REVISION HISTORY SPECIFICATIONS ELECTRICAL CHARACTERISTICS—1.8 V OPERATION ELECTRICAL CHARACTERISTICS—5 V OPERATION ABSOLUTE MAXIMUM RATINGS THERMAL RESISTANCE ESD CAUTION TYPICAL PERFORMANCE CHARACTERISTICS THEORY OF OPERATION APPLICATIONS INFORMATION PULSE OXIMETER CURRENT SOURCE FOUR-POLE, LOW-PASS BUTTERWORTH FILTER FOR GLUCOSE MONITOR OUTLINE DIMENSIONS ORDERING GUIDE NOTES NOTES NOTES